Bilag 1
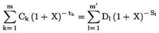
Grundligning, der angiver ækvivalensen mellem udnyttede kreditmuligheder på den ene side og tilbagebetalinger og omkostninger på den anden side
1. Grundligningen
Grundligningen, som bestemmer de årlige omkostninger i procent (ÅOP), sætter på årsbasis lighedstegn mellem den samlede nutidsværdi af udnyttede kreditmuligheder og den samlede nutidsværdi af tilbagebetalinger og betalinger af omkostninger:

2. Betydning af bogstaver og symboler
- X er ÅOP.
- m er nummeret på sidste udnyttelse af kreditmuligheden.
- k er nummeret på en udnyttelse af kreditmuligheden, hvor 1 ≤ k ≤ m.
- Ck er størrelsen af udnyttet kreditmulighed k.
- tk er tidsintervallet, udtrykt i år eller brøkdele af et år, mellem tidspunktet for første udnyttelse af kreditmuligheden og tidspunkterne for hver efterfølgende udnyttelse af kreditmuligheden, hvor t1 = 0.
- m' er nummeret på sidste tilbagebetaling eller betaling af omkostninger.
- l er nummeret på en tilbagebetaling eller betaling af omkostninger.
- Dl er størrelsen af en tilbagebetaling eller betaling af omkostninger.
- sl er tidsintervallet, udtrykt i år eller brøkdele af et år, mellem tidspunktet for første udnyttelse af kreditmuligheden og tidspunkterne for hver tilbagebetaling eller betaling af omkostninger.
3. Bemærkninger
1) De beløb, der betales af parterne på forskellige tidspunkter, er ikke nødvendigvis lige store og betales ikke nødvendigvis med lige store tidsintervaller.
2) Begyndelsestidspunktet er tidspunktet for første udnyttelse af kreditmuligheden.
3) Tidsintervallet mellem de tidspunkter, der anvendes ved beregningen, udtrykkes i år eller brøkdele af et år. Et år antages at have 365 dage (skudår 366 dage), 52 uger eller 12 lige lange måneder. Hver måned antages at have 30,41666 dage (= 365/12), uanset om der er tale om et skudår.
4) Beregningernes resultat angives med mindst én decimals nøjagtighed. Hvis næste decimal er 5 eller derover, forhøjes den bestemmende decimal med 1.
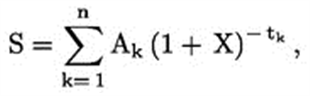
5) Ligningen kan skrives om, så der blot bruges en enkelt sum og begrebet bevægelser (Ak), som vil være positive eller negative, dvs. henholdsvis betalt eller modtaget i perioder 1 til k, udtrykt i år. Det vil sige:

hvor S er den aktuelle bevægelsessaldo. Hvis målet er at bibeholde ækvivalensen mellem bevægelserne, vil værdien være nul.
4. Supplerende antagelser til brug ved beregningen af de årlige omkostninger i procent
1) Hvis en kreditaftale stiller forbrugeren frit med hensyn til at udnytte kreditmuligheden, anses det samlede kreditbeløb for udnyttet i sin helhed med det samme.
2) Hvis en kreditaftale generelt stiller forbrugeren frit med hensyn til at udnytte kreditmuligheden, men også – blandt de forskellige muligheder for udnyttelse af kreditmuligheden – fastsætter en begrænsning med hensyn til beløb og tidsrum, anses kreditbeløbet for at være udnyttet på den tidligste af de i kreditaftalen fastsatte datoer og i overensstemmelse med disse begrænsninger for udnyttelse af kreditmuligheden.
3) Hvis en kreditaftale giver forskellige muligheder for at udnytte kreditmuligheden med forskellige omkostninger eller debitorrenter, anses det samlede kreditbeløb for udnyttet ved den højeste omkostning og debitorrente anvendt på den mulighed for at udnytte kreditmuligheden, der oftest benyttes under den pågældende type kreditaftale.
4) Hvis der er tale om en kassekredit, anses det samlede kreditbeløb for udnyttet i sin helhed og for kreditaftalens fulde løbetid. Hvis kassekredittens løbetid ikke kendes, beregnes de årlige omkostninger i procent ud fra den antagelse, at kredittens løbetid er tre måneder.
5) Hvis der er tale om en tidsubegrænset kreditaftale undtagen en kassekredit, antages det, at:
a) Kreditten er stillet til rådighed for en periode på et år regnet fra datoen for den første udnyttelse af kreditmuligheden, og at den endelige betaling foretaget af forbrugeren indfrier tilgodehavendet i form af kapital, renter og andre eventuelle omkostninger.
b) Kapitalen tilbagebetales af forbrugeren i lige store månedlige betalinger, første gang en måned efter datoen for den første udnyttelse af kreditmuligheden. I tilfælde, hvor kapitalen imidlertid skal betales i sin helhed i form af en enkelt betaling i hver betalingsperiode, skal forbrugerens efterfølgende udnyttelse af kreditmuligheden og tilbagebetalinger af hele kapitalen antages at foregå i en periode på et år. Renter og andre omkostninger pålægges i overensstemmelse med disse udnyttelser af kreditmuligheden og tilbagebetalinger af kapitalen og som fastsat i kreditaftalen.
Kunne ikke konvertere Indentatio pga. manglende Explicatus.
6) Hvis der er tale om andre kreditaftaler end kassekreditter og tidsubegrænsede kreditter som omfattet i antagelserne i nr. 4 og 5:
a) Såfremt datoen eller beløbet for en tilbagebetaling af kapital, der skal foretages af forbrugeren, ikke kan fastslås, antages det, at tilbagebetalingen finder sted på den tidligste dato, der er angivet i kreditaftalen, og vedrører det laveste beløb, som den giver mulighed for.
b) Hvis datoen for indgåelsen af kreditaftalen ikke er kendt, antages tidspunktet for første udnyttelse af kreditmuligheden at være den dato, som giver det korteste interval mellem nævnte dato og datoen for den første betaling, der skal foretages af forbrugeren.
7) Såfremt datoen eller det betalingsbeløb, der skal foretages af forbrugeren, ikke kan fastslås på grundlag af kreditaftalen eller de antagelser, der er angivet i nr. 4, 5 eller 6, antages det, at betalingen sker i overensstemmelse med de af kreditor krævede datoer og betingelser, og såfremt disse er ukendte, skal der
a) betales renter sammen med kapitaltilbagebetalingerne,
b) betales andre omkostninger end renter i form af et engangsbeløb på tidspunktet for indgåelse af kreditaftalen,
c) betales andre omkostninger end renter udtrykt som flere betalinger med regelmæssige mellemrum begyndende med datoen for den første tilbagebetaling af kapital, og hvis beløbet for sådanne betalinger ikke er kendte, skal de antages at være lige store beløb, og
d) den endelige betaling indfrier tilgodehavendet i form af kapital, renter og andre eventuelle omkostninger.
8) Hvis der endnu ikke er aftalt et loft for kreditten, anses loftet for at være på 11.200 kr.
9) Hvis der i en begrænset periode eller for et begrænset beløb tilbydes forskellige debitorrenter og omkostninger, anses debitorrenten og omkostningerne for at være de højest mulige i hele kreditaftalens løbetid.
10) I forbindelse med kreditaftaler, for hvilke der er aftalt en fast debitorrente i den første periode, ved hvis udløb der fastsættes en ny debitorrente, som derefter med jævne mellemrum tilpasses i forhold til en aftalt indikator, beregnes de årlige omkostninger i procent ud fra den antagelse, at fra og med udløbet af perioden med den faste debitorrente er debitorrenten den samme som debitorrenten på tidspunktet for beregningen af de årlige omkostninger i procent baseret på værdien af den aftalte indikator på det pågældende tidspunkt.
Bilag 2
Standardiserede europæiske forbrugerkreditoplysninger
1. Navn og kontaktoplysninger for kreditgiver/kreditformidler
Kreditgiver Adresse Tlf.nr. (*) E-mail (*) Fax-nr. (*) Websted (*)
|
[Navn] [Fysisk adresse, der skal anvendes af forbrugeren]
|
Hvis relevant
|
|
Kreditformidler Adresse Tlf.nr. (*) E-mail (*) Fax-nr. (*) Websted (*)
|
[Navn] [Fysisk adresse, der skal anvendes af forbrugeren]
|
(*) Disse oplysninger er valgfri for kreditgiver.
|
Når »hvis relevant« er angivet, skal kreditgiver udfylde rubrikken, hvis oplysningerne er relevante for kreditproduktet, eller slette de pågældende oplysninger eller hele rækken, hvis oplysningerne ikke er relevante for den kredittype, der overvejes.
Teksten i skarp parentes er en forklaring til kreditgiver og skal erstattes af de pågældende oplysninger.
2. Beskrivelse af de vigtigste karakteristika ved kreditproduktet
Kredittype
|
|
Det samlede kreditbeløb Der menes loftet for eller summen af alle beløb, der stilles til disposition i henhold til en kreditaftale.
|
|
Betingelserne for at udnytte kreditmuligheden Der menes, hvordan og hvornår De vil få pengene.
|
|
Kreditaftalens løbetid
|
|
Afdrag og, hvis det er relevant, i hvilken rækkefølge afdragene vil blive fordelt
|
De skal betale følgende: [Størrelse, antal og hyppighed af de betalinger, der skal foretages af forbrugeren] Renter og/eller omkostninger betales på følgende måde:
|
Det samlede beløb, De skal betale Der menes den lånte kapital plus renter og eventuelle omkostninger i forbindelse med Deres kredit.
|
[Sum af det samlede kreditbeløb og de samlede omkostninger i forbindelse med kreditten]
|
Hvis relevant Kreditten ydes i form af henstand med betalingen for varer eller tjenesteydelser eller er knyttet til levering af specifikke varer eller tjenesteydelser Navn på vare/tjenesteydelse Kontantpris
|
|
Hvis relevant
|
|
Den sikkerhedsstillelse, som kræves Dette er en beskrivelse af den sikkerhed, De skal stille i forbindelse med kreditaftalen.
|
[Type sikkerhedsstillelse]
|
Hvis relevant Tilbagebetaling fører ikke til en omgående amortisation af kapitalen.
|
|
3. Kreditomkostninger
Debitorrenten eller, hvis det er relevant, de forskellige debitorrenter, der gælder for kreditaftalen
|
[% – fast eller – variabel (med det indeks eller den referencesats, der skal anvendes på den oprindelige debitorrente) – perioder]
|
De årlige omkostninger i procent (ÅOP) Dette er de samlede omkostninger udtrykt i procent pr. år af det samlede kreditbeløb. ÅOP anføres for at hjælpe Dem med at sammenligne forskellige tilbud.
|
[% Her anføres et repræsentativt eksempel, som angiver alle de antagelser, der er lagt til grund ved beregningen af satsen]
|
Er man for at opnå kreditten eller for at opnå kreditten på de annoncerede vilkår og betingelser forpligtet til at
|
|
– tegne en forsikring vedrørende kreditten, eller – indgå aftale om en anden accessorisk tjenesteydelse. Hvis kreditgiver ikke kender omkostningerne i forbindelse med disse tjenesteydelser, indgår de ikke i ÅOP.
|
Ja/nej [hvis ja, angiv hvilken forsikring] Ja/nej [hvis ja, angiv hvilken accessorisk tjenesteydelse]
|
Tilknyttede omkostninger
|
|
Hvis relevant Forvaltning af en eller flere konti til registrering af både betalingstransaktioner og udnyttelser af kreditmuligheden er påkrævet
|
|
Hvis relevant Omkostninger ved anvendelse af et specifikt betalingsmiddel (f.eks. et kreditkort)
|
|
Hvis relevant Eventuelle andre omkostninger i forbindelse med kreditaftalen
|
|
Hvis relevant Betingelserne for ændring af ovennævnte omkostninger i forbindelse med kreditaftalen
|
|
Hvis relevant Betingelse om betaling af notarialgebyr
|
|
Morarenter Manglende betalinger kan have alvorlige følger for Dem (f.eks. tvangsauktion) og gøre det vanskeligere at opnå kredit.
|
De vil blive pålagt [… (gældende rentesats og måden, denne sats tilpasses på, og, hvis relevant, misligholdelsesomkostninger)] for forsinkede betalinger
|
4. Andre vigtige retlige aspekter
Fortrydelsesret De har ret til at fortryde kreditaftalen inden for en periode på 14 kalenderdage.
|
Ja/nej
|
Førtidig tilbagebetaling De har ret til helt eller delvis at tilbagebetale kreditbeløbet før tiden.
|
|
Hvis relevant
|
|
Kreditgiver har ret til kompensation i tilfælde af førtidig tilbagebetaling
|
[Fastsættelse af kompensation (beregningsmetode) i overensstemmelse med gennemførelsesbestemmelserne for artikel 16 i direktiv 2008/48/EF]
|
Søgning i en database Kreditgiver skal straks og gratis underrette Dem om resultatet af en søgning i en database, hvis en anmodning om kredit afslås på grundlag af en sådan søgning. Dette gælder ikke, hvis en sådan underretning er forbudt i henhold til fællesskabsretten eller strider mod den offentlige orden eller den offentlige sikkerhed.
|
|
Ret til et udkast til kreditaftale De har ret til efter anmodning gratis at modtage en kopi af udkastet til kreditaftale. Denne bestemmelse finder ikke anvendelse, hvis kreditgiveren på tidspunktet for anmodningen ikke er villig til at indgå kreditaftalen med Dem.
|
|
Hvis relevant
|
|
Hvor længe oplysningerne forud for aftaleindgåelsen er bindende for kreditgiveren
|
Disse oplysninger er gyldige fra . . . til . . .
|
|
|
Hvis relevant
5. Supplerende oplysninger i tilfælde af fjernsalg af finansielle tjenesteydelser
a) om kreditgiver
|
|
Hvis relevant
|
|
Kreditgivers repræsentant i den medlemsstat, hvor De bor Adresse
|
[Navn] [Fysisk adresse, der skal anvendes af forbrugeren]
|
Tlf.nr. (*) E-mail (*) Fax-nr. (*) Websted (*)
|
|
Hvis relevant
|
|
Registrering
|
[Det handelsregister, hvori kreditgiver er opført, og vedkommendes registreringsnummer eller tilsvarende identifikationssymbol i dette register]
|
Hvis relevant Tilsynsmyndigheden
|
|
b) om kreditaftalen
|
|
Hvis relevant
|
|
Udøvelse af fortrydelsesretten
|
[Praktiske anvisninger om udøvelse af fortrydelsesretten, bl.a. den periode, hvor denne ret kan udøves, til hvilken adresse en meddelelse vedrørende udøvelse af fortrydelsesretten skal sendes, og konsekvenserne af ikke at udøve denne ret]
|
Hvis relevant De retsregler, kreditgiver har valgt at lægge til grund for etableringen af forbindelserne med Dem forud for kreditaftalens indgåelse
|
|
Hvis relevant
|
|
Vilkår i aftalen om, hvilken lovgivning der skal anvendes på kreditaftalen, og/eller om, hvilken domstol der er kompetent
|
[De relevante vilkår gengives her]
|
Hvis relevant
|
|
Sprogordning
|
Oplysninger og aftalevilkår gives på [det specifikke sprog]. Hvis De er indforstået hermed, vil vi kommunikere på [det/de specifikke sprog] i kreditaftalens løbetid
|
c) om klageadgang
|
|
Hvorvidt der findes, og hvordan man får klageadgang og adgang til udenretslig bilæggelse af tvister
|
[En eventuel klageadgang og adgang til udenretslig bilæggelse af tvister for den forbruger, der er part i fjernsalgskontrakten, og, hvis dette er tilfældet, hvorledes forbrugeren kan gøre brug heraf]
|
(*) Disse oplysninger er valgfri for kreditgiver.
|
Bilag 3
Europæiske forbrugerkreditoplysninger med henblik på kassekredit og gældsomlægning
1. Kreditgivers/kreditformidlers navn og kontaktoplysninger
Kreditgiver Adresse Tlf.nr. (*) E-mail (*) Fax-nr. (*) Websted (*)
|
[Navn] [Fysisk adresse, der skal anvendes af forbrugeren]
|
Hvis relevant
|
|
Kreditformidler Adresse Tlf.nr. (*) E-mail (*) Fax-nr. (*) Websted (*)
|
[Navn] [Fysisk adresse, der skal anvendes af forbrugeren]
|
(*) Disse oplysninger er valgfri for kreditgiver.
|
Når »hvis relevant« er angivet, skal kreditgiver udfylde rubrikken, hvis oplysningerne er relevante for kreditproduktet, eller slette de pågældende oplysninger eller hele rækken, hvis oplysningerne ikke er relevante for den kredittype, der overvejes.
Teksten i skarp parentes er en forklaring til kreditgiver og skal erstattes af de pågældende oplysninger.
2. Beskrivelse af de vigtigste karakteristika ved kreditproduktet
Kredittypen
|
|
Det samlede kreditbeløb Der menes loftet for eller summen af alle beløb, der stilles til disposition i henhold til en kreditaftale.
|
|
Kreditaftalens løbetid
|
|
Hvis relevant De kan til enhver tid blive anmodet om at betale hele kreditbeløbet tilbage på anfordring
|
|
3. Kreditomkostninger
Debitorrenten eller, hvis det er relevant, de forskellige debitorrenter, der gælder for kreditaftalen
|
[% – fast eller – variabel (med det indeks eller den referencesats, der skal anvendes på den oprindelige debitorrente)]
|
Hvis relevant
|
|
De årlige omkostninger i procent (ÅOP) (*) Dette er de samlede omkostninger i forbindelse med kreditten udtrykt i procent pr. år af det samlede kreditbeløb. ÅOP anføres for at hjælpe Dem med at sammenligne forskellige tilbud.
|
[% Her anføres et repræsentativt eksempel, som angiver alle de antagelser, der er lagt til grund ved beregningen af satsen]
|
Hvis relevant
|
|
Omkostninger Hvis relevant Betingelserne for ændring af disse omkostninger
|
[Omkostninger, der påløber fra kreditaftalens indgåelse]
|
Morarenter
|
De vil blive pålagt [. . . . . (gældende rentesats og måden, denne sats tilpasses på, og, hvis det er relevant, misligholdelsesomkostninger)] for manglende betalinger
|
(*) Finder ikke anvendelse for Europæiske forbrugerkreditoplysninger med henblik på kassekredit i de medlemsstater, der i henhold til artikel 6, stk. 2, i direktiv 2008/48/EF beslutter, at ÅOP ikke skal oplyses for kassekredit.
|
4. Andre vigtige retlige aspekter
Opsigelse af kreditaftalen
|
[Betingelserne og proceduren for opsigelse af kreditaftalen]
|
Søgning i en database Kreditgiveren skal straks og gratis underrette Dem om resultatet af en søgning i en database, hvis en anmodning om kredit afslås på grundlag af en sådan søgning. Dette gælder ikke, hvis en sådan underretning er forbudt i henhold til fællesskabsretten eller strider mod den offentlige orden eller den offentlige sikkerhed.
|
|
Hvis relevant
|
|
Hvor længe oplysningerne forud for aftaleindgåelsen er bindende for kreditgiveren
|
Disse oplysninger er gyldige fra . . . til . . .
|
|
|
Hvis relevant
5. Supplerende oplysninger, som skal gives, hvis oplysningerne forud for aftaleindgåelse tilbydes i forbindelse med en forbrugerkredit med henblik på gældsomlægning
Afdrag og, hvis det er relevant, i hvilken rækkefølge afdragene vil blive fordelt
|
De skal betale følgende: [Et repræsentativt eksempel på en afdragsoversigt med angivelse af beløb, antal og hyppighed af de betalinger, forbrugeren skal foretage]
|
Det samlede beløb, De skal betale
|
|
Førtidig tilbagebetaling De har ret til helt eller delvis at tilbagebetale kreditbeløbet før tiden. Hvis relevant
|
|
Kreditgiver har ret til kompensation i tilfælde af førtidig tilbagebetaling
|
[Fastsættelse af kompensation (beregningsmetode) i overensstemmelse med gennemførelsesbestemmelserne for artikel 16 i direktiv 2008/48/EF]
|
|
|
Hvis relevant
6. Supplerende oplysninger, som skal gives i tilfælde af fjernsalg af finansielle tjenesteydelser
a) om kreditgiver
|
|
Hvis relevant
|
|
Kreditgivers repræsentant i den medlemsstat, hvor De bor Adresse Tlf.nr. (*) E-mail (*) Fax-nr. (*) Websted (*)
|
[Navn] [Fysisk adresse, der skal anvendes af forbrugeren]
|
Hvis relevant
|
|
Registrering
|
[Det handelsregister, hvori kreditgiver er opført, og vedkommendes registreringsnummer eller tilsvarende identifikationssymbol i dette register]
|
Hvis relevant Tilsynsmyndighed
|
|
b) om kreditaftalen
|
|
Fortrydelsesret De har ret til at fortryde kreditaftalen inden for en periode på 14 kalenderdage. Hvis relevant Udøvelse af fortrydelsesretten
|
Ja/nej [Praktiske anvisninger om udøvelse af fortrydelsesretten, bl.a. til hvilken adresse en meddelelse vedrørende udøvelse af fortrydelsesretten skal sendes, og konsekvenserne af ikke at udøve denne ret]
|
Hvis relevant De retsregler, kreditgiver har valgt at lægge til grund for etableringen af forbindelserne med Dem forud for kreditaftalens indgåelse
|
|
Hvis relevant
|
|
Vilkår om, hvilken lovgivning der skal anvendes på aftalen, og/eller om, hvilken domstol der er kompetent
|
[De relevante vilkår gengives her]
|
Hvis relevant
|
|
Sprogordning
|
Oplysninger og aftalevilkår gives på [det specifikke sprog]. Hvis De er indforstået hermed, vil vi kommunikere på [det/de specifikke sprog] i kreditaftalens løbetid
|
c) om klageadgang
|
|
Hvorvidt der findes, og hvordan man får klageadgang og adgang til udenretslig bilæggelse af tvister
|
[En eventuel klageadgang og adgang til udenretslig bilæggelse af tvister for den forbruger, der er part i fjernsalgskontrakten, og, hvis dette er tilfældet, hvorledes forbrugeren kan gøre brug heraf]
|
(*) Disse oplysninger er valgfri for kreditgiver.
|
Bilag 4
Beregning af de årlige omkostninger i procent ved kreditaftaler, der sikres ved pant eller anden rettighed knyttet til fast ejendom
1. Grundligningen
Grundligning, der angiver ækvivalensen mellem udnyttede kreditmuligheder på den ene side og tilbagebetalinger og omkostninger på den anden side.
Grundligningen, som bestemmer de årlige omkostninger i procent (ÅOP), sætter på årsbasis lighedstegn mellem den samlede nutidsværdi af udnyttede kreditmuligheder og den samlede nutidsværdi af tilbagebetalinger og betalinger af omkostninger:

2. Betydning af bogstaver og symboler
–
|
X er ÅOP
|
–
|
m er nummeret for sidste udnyttelse af kreditmuligheden
|
–
|
k er nummeret på en udnyttelse af kreditmuligheden, hvor 1 ≤ k ≤ m
|
–
|
Ck er størrelsen af den udnyttede kreditmulighed k
|
–
|
tk er tidsintervallet, udtrykt i år eller brøkdele af et år, mellem tidspunktet for første udnyttelse af kreditmuligheden og tidspunkterne for hver efterfølgende udnyttelse af kreditmuligheden, hvor t1 = 0
|
–
|
m' er nummeret på sidste tilbagebetaling eller betaling af omkostninger
|
–
|
l er nummeret på en tilbagebetaling eller betaling af omkostninger
|
–
|
Dl er størrelsen af en tilbagebetaling eller betaling af omkostninger
|
|
sl er tidsintervallet, udtrykt i år eller brøkdele af et år, mellem tidspunktet for første udnyttelse af kreditmuligheden og tidspunkterne for hver tilbagebetaling eller betaling af omkostninger.
|
3. Yderligere bemærkninger:
1)
|
De beløb, der betales af parterne på forskellige tidspunkter, er ikke nødvendigvis lige store og betales ikke nødvendigvis med lige store tidsintervaller.
|
2)
|
Begyndelsestidspunktet er tidspunktet for første udnyttelse af kreditmuligheden.
|
3)
|
Tidsintervallet mellem de ved beregningen anvendte tidspunkter udtrykkes i år eller brøkdele af et år. 1 år antages at have 365 dage (skudår 366 dage), 52 uger eller 12 lige lange måneder. Hver måned antages at have 30,41666 dage (= 365/12), uanset om der er tale om et skudår.
|
|
Hvis tidsintervallet mellem de tidspunkter, der anvendes ved beregningen, ikke kan udtrykkes som et helt antal uger, måneder eller år, udtrykkes tidsintervallet som et helt antal af en af de pågældende perioder kombineret med et antal dage. Hvis der anvendes dage:
|
|
a)
|
Medregnes hver dag, herunder weekender og ferier.
|
|
b)
|
Medregnes lige lange perioder og derefter dage tilbage til datoen for den første udnyttelse af kreditmuligheden.
|
|
c)
|
Findes længden af perioden i dage ved at se bort fra den første dag og medtage den sidste dag og udtrykkes i år ved at dividere denne periode med antallet af dage (365 eller 366 dage) i hele året ved at regne tilbage fra den sidste dag til den samme dag det foregående år.
|
4)
|
Beregningens resultat angives med mindst én decimals nøjagtighed. Hvis næste decimal er 5 eller derover, forhøjes den foregående decimal med én.
|
5)
|
Ligningen kan skrives om, så der blot bruges en enkelt sum og begrebet bevægelser (Ak ), som vil være positive eller negative, dvs. henholdsvis betalt eller modtaget i perioderne 1 til n, udtrykt i år, dvs.:
|

hvor S er den aktuelle bevægelsessaldo. Hvis målet er at bibeholde ækvivalensen mellem bevægelserne, vil værdien være nul.
4. Supplerende antagelser til brug ved beregningen af de årlige omkostninger i procent
1)
|
Hvis en kreditaftale stiller forbrugeren frit med hensyn til at udnytte kreditmuligheden, anses det samlede kreditbeløb for udnyttet i sin helhed med det samme.
|
2)
|
Hvis en kreditaftale giver forskellige muligheder for at udnytte kreditmuligheden med forskellige omkostninger eller debitorrenter, anses det samlede kreditbeløb for udnyttet ved den højeste omkostning og debitorrente anvendt på den mulighed for at udnytte kreditmuligheden, der oftest benyttes under den pågældende type kreditaftale.
|
3)
|
Hvis en kreditaftale generelt stiller forbrugeren frit med hensyn til at udnytte kreditmuligheden, men også blandt de forskellige muligheder for udnyttelse af kreditmuligheden fastsætter en begrænsning med hensyn til kreditbeløb og tidsrum, anses kreditbeløbet for at være udnyttet på den tidligste af de i kreditaftalen fastsatte datoer og i overensstemmelse med disse begrænsninger for udnyttelse af kreditmuligheden.
|
4)
|
Hvis der i en begrænset periode eller for et begrænset beløb tilbydes forskellige debitorrenter og omkostninger, anses den højeste debitorrente og de højeste omkostninger for at være debitorrenten og omkostningerne i hele kreditaftalens løbetid.
|
5)
|
I forbindelse med kreditaftaler, for hvilke der er aftalt en fast debitorrente i den første periode, ved hvis udløb der fastsættes en ny debitorrente, som derefter med jævne mellemrum tilpasses i forhold til en aftalt indikator eller intern referencesats, beregnes de årlige omkostninger i procent ud fra den antagelse, at fra og med udløbet af perioden med den faste debitorrente er debitorrenten den samme som debitorrenten på tidspunktet for beregningen af de årlige omkostninger i procent baseret på værdien af den aftalte indikator eller interne referencesats på det pågældende tidspunkt, uden dog at være mindre end den faste debitorrente.
|
6)
|
Hvis der endnu ikke er aftalt et loft for kreditten, anses loftet for at være på 170 000 EUR. I tilfælde af andre kreditaftaler end eventual- eller garantiforpligtelser, hvor formålet ikke er at erhverve eller bevare en rettighed til fast ejendom eller grund, kassekreditter, købekort med henstand med betalingen eller kreditkort, anses loftet for at være på 1 500 EUR.
|
7)
|
I tilfælde af andre kreditaftaler end kassekreditter, foreløbige lån, værdibaserede kreditaftaler, eventual- eller garantiforpligtelser og tidsubegrænsede kreditaftaler som omhandlet i antagelserne i nr. 9-13:
|
|
a)
|
Antages det, hvis datoen eller beløbet for en tilbagebetaling af kapital, der skal foretages af forbrugeren, ikke kan fastslås, at tilbagebetalingen finder sted på den tidligste dato, der er angivet i kreditaftalen, og vedrører det laveste beløb, som den giver mulighed for.
|
|
b)
|
Antages det, hvis tidsintervallet mellem tidspunktet for første udnyttelse af kreditmuligheden og datoen for den første betaling, der skal foretages af forbrugeren, ikke kan fastslås, at dette er det korteste tidsinterval.
|
8)
|
Hvis datoen eller beløbet for en betaling, der skal foretages af forbrugeren, ikke kan fastslås på grundlag af kreditaftalen eller antagelserne i nr. 7 og 9-13, antages det, at betalingen finder sted i overensstemmelse med de datoer og betingelser, der kræves af kreditgiver, og hvis disse er ukendte:
|
|
a)
|
Betales der renter sammen med tilbagebetalingerne af kapitalen.
|
|
b)
|
Betales der ikkerentebærende omkostninger udtrykt som et enkelt beløb på tidspunktet for indgåelse af kreditaftalen.
|
|
c)
|
Betales der ikkerentebærende omkostninger udtrykt som flere betalinger med regelmæssige mellemrum, begyndende med datoen for den første tilbagebetaling af kapital, og hvis beløbet for sådanne betalinger ikke er kendt, antages de at være lige store beløb.
|
|
d)
|
Indfrier den endelige betaling tilgodehavendet i form af kapital, renter og andre eventuelle omkostninger.
|
9)
|
I tilfælde af en kassekredit anses det samlede kreditbeløb for udnyttet i sin helhed og for kreditaftalens fulde løbetid. Hvis kassekredittens løbetid ikke kendes, beregnes de årlige omkostninger i procent ud fra den antagelse, at kredittens løbetid er 3 måneder.
|
10)
|
I tilfælde af et foreløbigt lån anses det samlede kreditbeløb for udnyttet i sin helhed og for kreditaftalens fulde løbetid. Hvis kreditaftalens løbetid ikke kendes, beregnes de årlige omkostninger i procent ud fra den antagelse, at kredittens løbetid er 12 måneder.
|
11)
|
I tilfælde af en anden tidsubegrænset kreditaftale end en kassekredit og et foreløbigt lån antages det, at:
|
|
a)
|
Kreditten i forbindelse med kreditaftaler, hvis formål er at erhverve eller bevare rettigheder til fast ejendom, ydes for en periode på 20 år regnet fra datoen for den første udnyttelse af kreditmuligheden, og at den endelige betaling foretaget af forbrugeren indfrier tilgodehavendet i form af kapital, renter og andre eventuelle omkostninger; i tilfælde af kreditaftaler, hvis formål ikke er at erhverve eller bevare rettigheder til fast ejendom, eller hvor kreditmuligheden udnyttes ved hjælp af købekort med henstand med betalingen eller kreditkort, er denne periode 1 år.
|
|
b)
|
Kapitalen tilbagebetales af forbrugeren i lige store månedlige betalinger, første gang 1 måned efter datoen for den første udnyttelse af kreditmuligheden. I tilfælde, hvor kapitalen imidlertid skal tilbagebetales i sin helhed i form af en enkelt betaling i hver betalingsperiode, antages forbrugerens efterfølgende udnyttelser af kreditmuligheden og tilbagebetalinger af hele kapitalen at foregå i en periode på 1 år. Renter og andre omkostninger pålægges i overensstemmelse med disse udnyttelser af kreditmuligheden og tilbagebetalinger af kapitalen og som fastsat i kreditaftalen.
|
|
|
I dette nummer forstås ved en tidsubegrænset kreditaftale en kreditaftale uden fast løbetid, som omfatter kreditter, som skal tilbagebetales i deres helhed inden for eller efter en periode, men som efter tilbagebetaling står til rådighed til fornyet udnyttelse.
|
12)
|
I tilfælde af eventual- eller garantiforpligtelser anses det samlede kreditbeløb for udnyttet i sin helhed som et enkelt beløb på det tidspunkt, der ligger først, af
|
|
a)
|
datoen for den seneste udnyttelse af kreditmuligheden, som er tilladt i henhold til den kreditaftale, der er den potentielle kilde til eventual- eller garantiforpligtelsen, eller
|
|
b)
|
udløbet af den første periode forud for forlængelsen af aftalen i tilfælde af en aftale, der forlænges.
|
13)
|
I tilfælde af værdibaserede kreditaftaler:
|
|
a)
|
Anses forbrugernes betalinger for at finde sted på den eller de seneste datoer, som er tilladt i henhold til kreditaftalen.
|
|
b)
|
Anses de procentvise stigninger i værdien af den faste ejendom, som sikrer den værdibaserede kreditaftale, og raten for inflationsindekset, som er omhandlet i aftalen, for at være en procentsats svarende til den højeste af centralbankens nuværende mål for inflationsraten eller inflationsniveauet i den medlemsstat, hvor den faste ejendom er beliggende på tidspunktet for indgåelsen af kreditaftalen, eller 0 %, hvis disse procentsatser er negative.
|
Bilag 5
EUROPÆISK STANDARDISERET INFORMATIONSARK (ESIS)
DEL A
Teksten i denne model gengives som sådan i ESIS-formularen. Teksten i skarp parentes erstattes af de relevante oplysninger. Del B indeholder en vejledning for kreditgiver eller i givet fald kreditformidler i, hvordan man udfylder ESIS-formularen.
Når betegnelsen »hvis relevant« er angivet, skal kreditgiver give de ønskede oplysninger, hvis de er relevante for kreditaftalen. Hvis oplysningerne ikke er relevante, sletter kreditgiver de pågældende oplysninger eller hele afsnittet (f.eks. i de tilfælde, hvor afsnittet ikke er relevant). Hvis hele afsnittet slettes, tilpasses nummereringen af ESIS-afsnittene tilsvarende.
Nedennævnte oplysninger gives i ét dokument. Den anvendte skrifttype skal være klart læsbar. Der anvendes fede typer, skygger eller større skrifttype, hvis nogle oplysninger skal fremhæves. Alle relevante risikoadvarsler skal fremhæves.
ESIS-model
(Indledende tekst)
|
Dette dokument blev udarbejdet for [navn på forbrugeren] den [dags dato]. Dette dokument blev udarbejdet ud fra de oplysninger, som du hidtil har givet, og ud fra de i øjeblikket gældende betingelser på finansmarkedet. Nedennævnte oplysninger er gyldige indtil den [gyldighedsdato] (hvis relevant) med undtagelse af renten og andre omkostninger. Efter denne dato kan de ændre sig afhængigt af markedsbetingelserne. (Hvis relevant) Dette dokumentet forpligter ikke [kreditgivers navn] til at yde dig lån.
|
1. Långiver
|
[Navn] [Telefonnummer] [Fysisk adresse] (Valgfrit)[E-mail adresse] (Valgfrit)[Faxnummer] (Valgfrit)[Websted] (Valgfrit) [kontaktperson/kontaktpunkt] (Hvis relevant, oplysninger om, hvorvidt der ydes rådgivningstjenester:) [Efter at have vurderet dine behov anbefaler vi dig at optage dette lån/Vi anbefaler dig ikke noget bestemt lån. Baseret på dine svar på en række spørgsmål giver vi dig imidlertid information om dette lån, så du kan træffe dit eget valg. ]
|
2. (Hvis relevant) Kreditformidler:
|
[Navn] [Telefonnummer] [Fysisk adresse] (Valgfrit) [e-mail adresse] (Valgfrit)[Faxnummer] (Valgfrit)[Websted] (Valgfrit) [kontaktperson/kontaktpunkt] (Hvis relevant, oplysninger om, hvorvidt der ydes rådgivningstjenester:) [(Efter at have vurderet dine behov anbefaler vi dig at optage dette lån/Vi anbefaler dig ikke noget bestemt lån. Baseret på dine svar på en række spørgsmål giver vi dig imidlertid information om dette lån, så du kan træffe dit eget valg.)] [Vederlag]
|
3. Hovedtrækkene ved lånet
|
Lånebeløb og -valuta: [værdi][valuta] (Hvis relevant) Dette lån er ikke i [låntagers nationale valuta]. (Hvis relevant) Værdien af dit lån i [låntagers nationale valuta] kan ændre sig. (Hvis relevant) Såfremt værdien af [låntagers nationale valuta] f.eks. falder med 20 % i forhold til [lånets valuta], vil værdien af dit lån blive forøget til [indsæt beløb i låntagers nationale valuta]. Der kan imidlertid blive tale om mere, hvis værdien af [låntagers nationale valuta] falder med mere end 20 %. (Hvis relevant) Den maksimale værdi af dit lån er [indsæt beløb i låntagers nationale valuta]. (Hvis relevant) du modtager en advarsel, hvis kreditbeløbet når op på [indsæt beløb i låntagers nationale valuta]. (Hvis relevant) du får mulighed for at [indsæt ret til at genforhandle lånet i udenlandsk valuta eller ret til at konvertere lånet til [relevant valuta] og betingelser] Lånets løbetid: [løbetid] [Låntype] [Gældende rentetype] Samlet beløb, der skal tilbagebetales: Det betyder, at du skal tilbagebetale [beløb] for hver lånt [valutaenhed]. (Hvis relevant) Denne del af dette er et afdragsfrit lån. Du vil stadig skylde [indsæt det afdragsfrie lånebeløb] ved lånets udløb. (Hvis relevant) Anslået værdi af ejendommen med henblik på udarbejdelsen af dette informationsblad: [indsæt beløb] (Hvis relevant) Maksimalt lånebeløb i forhold til ejendommens værdi [indsæt belåningsprocent] eller minimumsværdi af ejendommen påkrævet til låntagning af det illustrerede beløb [indsæt beløb] (Hvis relevant) [Sikkerhedsstillelse]
|
4. Rentesats og andre omkostninger
|
De årlige omkostninger i procent (ÅOP) er de samlede omkostninger ved lånet udtrykt som en årlig procentsats. ÅOP anføres for at hjælpe dig med at sammenligne forskellige tilbud. Den gældende ÅOP for dit lån er på [ÅOP]. Den omfatter: Rentesats [i procent eller, hvis relevant, angivelse af en referencesats og kreditgiverens rentespænd i procent] [Andre elementer af ÅOP] Engangsomkostninger (Hvis relevant) Du skal betale et gebyr for registrering af lånet. [Indsæt gebyrets størrelse, hvis det er kendt, eller grundlaget for beregningen. ] Periodiske omkostninger (Hvis relevant) ÅOP beregnes på grundlag af antagelser vedrørende rentesatsen. (Hvis relevant) Eftersom [en del af] dit lån er med variabel rente, kan den reelle ÅOP være forskellig fra denne ÅOP, hvis rentesatsen på dit lån ændrer sig. Hvis rentesatsen f.eks. stiger til [tilfælde som beskrevet i del B], kan ÅOP stige til [indsæt ÅOP for at illustrere dette tilfælde]. (Hvis relevant) Bemærk venligst, at denne ÅOP er beregnet ud fra den forudsætning, at rentesatsen i hele aftalens løbetid forbliver på det niveau, der blev fastsat for den første periode. (Hvis relevant) Følgende omkostninger kendes ikke af långiver og medregnes derfor ikke i ÅOP: [Omkostninger] (Hvis relevant) Du skal betale et gebyr for registrering af lånet. Vær venligst opmærksom på alle andre afgifter og omkostninger i forbindelse med lånet.
|
5. Betalingernes hyppighed og antal
|
Betalingernes hyppighed [hyppighed] Antal betalinger: [antal]
|
6. Ydelsens størrelse
|
[Beløb] [valuta] Din indtægt kan ændre sig. Overvej venligst, om du stadig har råd til at betale dine [hyppighed] afdrag, hvis din indtægt falder. (Hvis relevant) Da [dette/en del af dette] er et afdragsfrit lån, skal du træffe særskilte foranstaltninger til tilbagebetaling af [indsæt det afdragsfrie lånebeløb], som du skylder ved lånets udløb. Husk at tilføje eventuelle yderligere afdrag, der skal betales ud over den ydelse, der er vist her. (Hvis relevant) Rentesatsen på [en del af] dette lån kan ændre sig. Dette betyder, at afdragenes størrelse kan øges eller mindskes. Hvis rentesatsen f.eks. stiger til [tilfælde som beskrevet i del B], kan dine afdrag stige til [indsæt den ydelse, der svarer til dette tilfælde] (Hvis relevant) Værdien af det beløb, du skal betale i [låntagers nationale valuta] hver [hyppigheden af ydelsen], kan ændre sig. (Hvis relevant) Dine betalinger kan forøges til [indsæt det maksimale beløb i låntagers nationale valuta] hver [indsæt periode] (Hvis relevant) Hvis f.eks. værdien af [låntagers nationale valuta] falder med 20 % i forhold til [lånevalutaen], vil du skulle betale yderligere [indsæt beløbet i låntagers nationale valuta] hver [indsæt periode]. Dine betalinger vil kunne stige med mere end dette. (Hvis relevant) Den valutakurs, der anvendes til at konvertere din tilbagebetaling i [lånevaluta] til [låntagers nationale valuta], er den kurs, som offentliggøres af [navnet på det institut, der offentliggør valutakursen] den [dato], eller som beregnes den [dato] under anvendelse af [indsæt navn på referencetal eller beregningsmetode]. (Hvis relevant) [Detaljer om bundne opsparingsprodukter, lån til udskudt rente]
|
7. (Hvis relevant) Illustrativ amortiseringstabel
|
Denne tabel viser det beløb, der skal betales hver [hyppighed]. Ydelserne (kolonne [relevant nr.]) er summen af den rente, der skal betales (kolonne [relevant nr.]), hvis relevant, den kapital, der skal betales (kolonne [relevant nr.]), og i givet fald andre omkostninger (kolonne [relevant nr.]). (Hvis relevant) Omkostningerne i den anden kolonne med omkostninger vedrører [liste over omkostninger]. Restgæld (kolonne [relevant nr.]) er det resterende lånebeløb efter hver ydelse. [Tabel]
|
8. Yderligere forpligtelser
|
Låntager skal opfylde følgende forpligtelser for at kunne drage fordel af de lånebetingelser, der er anført i dette dokument. [Forpligtelser] (Hvis relevant) Bemærk venligst, at lånebetingelserne som beskrevet i dette dokument (inklusive rentesatsen) kan ændre sig, hvis disse forpligtelser ikke er opfyldt. (Hvis relevant) Vær venligst opmærksom på de eventuelle konsekvenser ved på et sent tidspunkt at opsige accessoriske tjenesteydelser i forbindelse med lånet: [Konsekvenser]
|
9. Førtidig tilbagebetaling
|
Du har mulighed for at indfri lånet helt eller delvis før tiden. (Hvis relevant) [Betingelser] (Hvis relevant) Gebyr ved førtidig tilbagebetaling: [indsæt beløb eller, hvis dette ikke er muligt, beregningsmetode] (Hvis relevant) Hvis du beslutter dig for at indfri dette lån før tiden, bedes du kontakte os for at få oplysning om det nøjagtige kompensationsgebyr for førtidig tilbagebetaling.
|
10. Fleksible funktioner
|
(Hvis relevant) [Oplysninger om overførsel/subrogation] Du har mulighed for at overføre dette lån til en anden [långiver] [eller] [ejendom]. [Indsæt betingelser] (Hvis relevant) Du har ikke mulighed for at overføre dette lån til en anden [långiver] [eller] [ejendom]. (Hvis relevant) Yderligere funktioner: [indsæt forklaring på de yderligere funktioner opstillet i del B og, valgfrit, eventuelle andre funktioner, som långiveren tilbyder som del af kreditaftalen, og som ikke er omhandlet i de foregående afsnit].
|
11. Låntagers øvrige rettigheder
|
(Hvis relevant) Du har [betænkningstidens varighed] efter [tidspunktet for betænkningsperiodens begyndelse] til at overveje, før du forpligter dig til at optage dette lån. (Hvis relevant) I en periode på [fortrydelsesrettens varighed] efter [det tidspunkt, hvorfra fortrydelsesfristen løber] kan låntager benytte sig af sin ret til at annullere aftalen. [Betingelser] [Indsæt procedure] (Hvis relevant) Du kan miste din ret til at annullere aftalen, hvis du i den pågældende periode køber eller sælger en ejendom, der er knyttet til denne kreditaftale. (Hvis relevant) Hvis du beslutter dig for at udøve din fortrydelsesret [i forbindelse med kreditaftalen], bedes du venligst kontrollere, om du fortsat vil være bundet af dine øvrige forpligtelser vedrørende lånet [herunder de accessoriske tjenester i forbindelse med lånet] [som omhandlet i afsnit 8].
|
12. Klager
|
Hvis du ønsker at klage, bedes du kontakte [indsæt internt kontaktpunkt og sted for information om proceduren]. (Hvis relevant) Maksimalt tidsrum til at behandle klagen [periode] (Hvis relevant) [Hvis du ikke er tilfreds med vores interne afgørelse på din klagesag,] kan du også kontakte: [indsæt navn på eksternt organ til udenretslig klage- og tvistbilæggelse] (Hvis relevant), eller du kan kontakte Fin-Net for nærmere oplysninger om det tilsvarende organ i dit eget land.
|
13. Manglende overholdelse af forpligtelserne i forbindelse med lånet: konsekvenser for låntager
|
[Kategori af manglende overholdelse] [Økonomiske og/eller retlige konsekvenser] Hvis du får problemer med at betale de [hyppighed] ydelser, opfordrer vi dig til at kontakte os så hurtigt som muligt med henblik på at finde mulige løsninger. (Hvis relevant) I sidste instans kan du miste dit hjem, hvis du ikke kan overholde betalingerne.
|
(Hvis relevant) 14. Yderligere oplysninger
|
(Hvis relevant) [Angivelse af den lovgivning, der finder anvendelse på kreditaftalen]. (Hvis långiver har til hensigt at anvende et andet sprog end ESIS) Oplysninger og aftalevilkår gives på [sprog]. Hvis du er indforstået hermed, vil vi kommunikere på [sprog] i kreditaftalens løbetid. [Indsæt erklæring om retten til afhængigt af situationen at modtage eller få tilbudt et udkast til kreditaftale]
|
15. Tilsynsførende
|
Tilsynet med långiver foretages af [tilsynsmyndighedens(-myndighedernes) navn(e) og websted(er)]. (Hvis relevant) Tilsynet med denne kreditformidler foretages af [tilsynsmyndighedens navn og websted].
|
DEL B
Vejledning i udfyldelse af ESIS
Når ESIS udfyldes, skal som minimum følgende vejledning følges.
Afsnittet »Indledende tekst«
1) Gyldighedsdatoen skal fremhæves tydeligt. I dette afsnit forstås ved »gyldighedsdato« det tidsrum, oplysningerne, f.eks. om debitorrenten, i ESIS forbliver uændret og finder anvendelse, hvis kreditgiver beslutter at yde lånet inden for denne periode. Hvis fastsættelsen af den gældende debitorrente og andre omkostninger afhænger af resultatet af salget af underliggende obligationer, kan den endelige debitorrente og andre omkostninger være forskellige fra de angivne. Under disse omstændigheder bør det angives, at gyldighedsdatoen ikke finder anvendelse for debitorrenten og andre omkostninger, ved tilføjelse af ordene: »med undtagelse af renten og andre omkostninger«.
Afsnit 1. Långiver
1) Kreditgivers navn, telefonnummer og fysiske adresse skal omfatte de kontaktoplysninger, som forbrugeren kan anvende i forbindelse med fremtidig korrespondance.
2) Det er frivilligt at angive oplysninger om e-mail adresse, faxnummer, websted og kontaktperson/kontaktpunkt.
3) I henhold til artikel 3 i direktiv 2002/65/EF skal der i givet fald angives navn og fysisk adresse på kreditgivers repræsentant i det medlemsland, hvor forbrugeren har bopæl, hvis transaktionen tilbydes som en fjernsalgsaftale. Det er frivilligt at angive telefonnummer, e-mailadresse og websted for så vidt angår kreditgivers repræsentant.
4) Når afsnit 2 ikke finder anvendelse, meddeler kreditgiver forbrugeren, om der ydes rådgivningstjenester og på hvilket grundlag; formuleringen i del A anvendes.
(Hvis relevant) Afsnit 2. Kreditformidler
Når det er en kreditformidler, der giver forbrugeren produktoplysningerne, skal der gives følgende oplysninger:
1) Kreditformidlers navn, telefonnummer og fysiske adresse skal omfatte de kontaktoplysninger, som forbrugeren kan anvende i forbindelse med fremtidig korrespondance.
2) Det er frivilligt at angive oplysninger om e-mailadresse, faxnummer, websted og kontaktperson/kontaktpunkt.
3) Kreditformidler meddeler forbrugeren, om der ydes rådgivningstjenester og på hvilket grundlag; formuleringen i del A anvendes.
4) Der gøres rede for, hvordan kreditformidler aflønnes. Når denne modtager provision fra en kreditgiver, oplyses beløbet og kreditgivers navn, hvis der er tale om en anden end i afsnit 1.
Afsnit 3. Hovedtrækkene ved lånet
1)
|
I dette afsnit forklares tydeligt kredittens hovedtræk, herunder værdi og valuta og de potentielle risici, der er forbundet med debitorrenten, bl.a. dem, der er nævnt i punkt 8, samt amortiseringsstrukturen.
|
2)
|
Når lånevalutaen er en anden end forbrugerens nationale valuta, oplyser kreditgiver, at forbrugeren vil modtage en advarsel med jævne mellemrum, som et minimum når vekselkursen svinger med mere end 20 %, i givet fald om retten til at konvertere kreditaftalens valuta eller muligheden for at genforhandle betingelserne samt om andre ordninger, der er tilgængelige for forbrugeren til begrænsning af valutakursrisikoen. Hvis kreditaftalen indeholder en bestemmelse om begrænsning af valutakursrisici, skal kreditgiver oplyse det maksimumsbeløb, som forbrugeren kan skulle tilbagebetale. Hvis kreditaftalen ikke indeholder en bestemmelse om begrænsning af forbrugerens eksponering for valutakursrisici til valutakurssvingninger på mindre end 20 %, skal kreditgiver fremlægge en illustration af virkningen på lånets værdi af et fald på 20 % i værdien af forbrugerens nationale valuta i forhold til kreditvalutaen.
|
3)
|
Lånets varighed udtrykkes i år eller måneder, alt efter hvad der er mest relevant. Hvis lånets varighed ikke ligger fast i lånets løbetid, redegør kreditgiver for, hvornår og på hvilke betingelser dette kan være tilfældet. Hvis lånet er tidsubegrænset, f.eks. i forbindelse med et sikret kreditkort, skal kreditgiver tydeligt angive dette.
|
4)
|
Kredittypen bør fremgå tydeligt (f.eks. lån med pant i fast ejendom, boliglån, sikret kreditkort osv.). Beskrivelsen af låntype skal indeholde klare angivelser af, hvordan kapital og rente tilbagebetales i lånets løbetid (dvs. amortiseringsstrukturen), og hvorvidt kreditaftalen omhandler tilbagebetaling af kapital eller er afdragsfri, eller en kombination af de to.
|
5)
|
Når hele kreditten eller en del af den er afdragsfri, skal der på en fremtrædende plads i slutningen af dette afsnit indsættes en erklæring herom; formuleringen i del A anvendes.
|
6)
|
I dette afsnit forklares det, om debitorrenten er fast eller variabel, og i givet fald angives de perioder, hvor renten er fast; hyppigheden af de efterfølgende ændringer og eksistensen af begrænsninger på debitorrentens udsving, såsom renteloft og fastsættelse af minimumsrentesats.
|
|
Den formel, der anvendes til at ændre debitorrenten og dens forskellige elementer (f.eks. referencesats og rentespænd), forklares. Kreditgiver anfører, f.eks. med angivelse af websted, hvor yderligere oplysninger om de indeks eller satser, som anvendes i formlen, kan findes, f.eks. Euribor eller centralbankens referencesats.
|
7)
|
Hvis der anvendes forskellige debitorrenter under forskellige omstændigheder, bør der gives oplysninger om alle de relevante renter.
|
8)
|
Det »samlede beløb, der skal tilbagebetales«, svarer til det samlede beløb, der skal betales af forbrugeren. Det angives som summen af kreditbeløbet og de samlede omkostninger for forbrugeren i forbindelse med lånet. Hvis der ikke er en fast debitorrente i aftalens løbetid, skal det fremhæves, at dette beløb er illustrativt og især kan variere i forbindelse med variationer i debitorrenten.
|
9)
|
Hvis der stilles sikkerhed for lånet i form af pant i den faste ejendom eller en anden tilsvarende sikkerhedsstillelse eller i form af en rettighed, der er knyttet til fast ejendom, henleder kreditgiver forbrugerens opmærksomhed herpå. Kreditgiver angiver i givet fald den anslåede værdi af den faste ejendom eller anden sikkerhedsstillelse, der er anvendt til udarbejdelsen af dette informationsblad.
|
10)
|
Kreditgiver oplyser i givet fald enten
|
|
a)
|
»det maksimale lånebeløb i forhold til ejendommens værdi« med angivelse af belåningsprocenten. Belåningsprocenten ledsages af et eksempel i absolutte tal på det maksimale beløb, der kan lånes til en given ejendomsværdi, eller
|
|
b)
|
»den minimumsværdi af ejendommen, som kreditgiver kræver for at udlåne det illustrerede beløb«.
|
11)
|
Når kreditter består af flere dele (f.eks. delvis fast rente, delvis variabel rente), skal dette afspejles i angivelsen af kredittypen, og oplysningerne skal gives for hver del af kreditten.
|
Afsnit 4. Rentesats og andre omkostninger
1)
|
Henvisningen til »rente« svarer til debitorrenten eller -renterne.
|
2)
|
Debitorrenten angives i procent. Hvis debitorrenten er variabel og baseret på en referencesats, kan kreditgiver angive debitorrenten i form af en referencerente og kreditgivers rentespænd i procent. Kreditgiver bør imidlertid angive værdien af den gældende referencesats på den dag, hvor ESIS udsendes. Når debitorrenten er variabel, skal oplysningerne omfatte:
|
|
a)
|
de antagelser, der er anvendt til beregning af de årlige omkostninger i procent,
|
|
b)
|
i givet fald de gældende rentelofter og minimumsrentesatser og
|
|
c)
|
en advarsel om, at udsvinget vil kunne påvirke de faktiske årlige omkostninger i procent. For at tiltrække forbrugerens opmærksomhed skal advarslen være skrevet med en større skrifttype og stå på en fremtrædende plads i ESIS' hovedtekst. Advarslen ledsages af et illustrativt eksempel på de årlige omkostninger i procent. Når der er et loft over debitorrenten, skal eksemplet bygge på, at debitorrenten stiger ved førstkommende lejlighed til det højeste niveau, der er fastsat i kreditaftalen. Når der ikke er noget loft, skal eksemplet illustrere de årlige omkostninger i procent med den højeste debitorrente i mindst de sidste 20 år, eller hvis de data, der ligger til grund for beregningen af debitorrenten, er til rådighed for mindre end 20 år, den længste periode, for hvilken disse data er til rådighed, baseret på den højeste værdi af en ekstern referencesats, der anvendes til beregning af debitorrenten, når den er til rådighed, eller den højeste værdi af en referencerente, der er fastsat af Finanstilsynet eller Den Europæiske Banktilsynsmyndighed (EBA), når kreditgiver ikke anvender en ekstern referencerente. Disse krav gælder ikke for kreditaftaler, hvori debitorrenten er fastsat for en materiel indledende periode på flere år og derefter kan fastsættes for endnu en periode efter forhandling mellem kreditgiver og forbruger. For kreditaftaler, hvori debitorrenten er fastsat for en materiel indledende periode på flere år og derefter kan fastsættes for endnu en periode efter forhandling mellem kreditgiver og forbruger, skal oplysningerne omfatte en advarsel om, at de årlige omkostninger i procent er beregnet på grundlag af debitorrenten for den indledende periode. Advarslen ledsages af en yderligere illustration af de årlige omkostninger i procent, der er beregnet i henhold til § 16 a, stk. 4, i kreditaftaleloven. Hvis en kredit består af flere dele (f.eks. en del med fast rente og en del med variabel rente), angives disse oplysninger for hver del af kreditten.
|
3)
|
I afsnittet om »andre elementer af de årlige omkostninger i procent« anføres alle de andre omkostninger, der indgår i de årlige omkostninger i procent, herunder engangsomkostninger såsom administrationsgebyrer og periodiske omkostninger såsom årlige administrationsgebyrer. Kreditgiver anfører hver enkelt omkostning pr. kategori (engangsomkostninger, periodiske omkostninger, der indgår i ydelserne, og periodiske omkostninger, der ikke indgår i ydelserne) med angivelse af beløb, modtager af betaling og tidspunkt for betaling. Dette behøver ikke omfatte omkostninger i forbindelse med brud på kontraktlige forpligtelser. Hvis beløbet ikke kendes, tilvejebringer kreditgiver om muligt en omtrentlig angivelse af beløbet eller, hvis dette ikke er muligt, en angivelse af, hvordan beløbet beregnes, og anfører, at beløbet kun er vejledende. Hvis visse omkostninger ikke indgår i de årlige omkostninger i procent, fordi de ikke kendes af kreditgiver, bør dette fremhæves.
|
|
Hvis forbrugeren har underrettet kreditgiver om et eller flere elementer i den kredit, han foretrækker, såsom kreditaftalens løbetid og det samlede kreditbeløb, anvender kreditgiver så vidt muligt disse elementer; hvis en kreditaftale giver forskellige muligheder for at udnytte kreditmuligheden med forskellige omkostninger eller debitorrenter, og kreditgiver anvender antagelserne i bilag I, del II, skal det i kreditaftalen anføres, at andre muligheder for at udnytte kreditmuligheden for denne type kreditaftale kan medføre højere årlige omkostninger i procent. Hvis betingelserne for udnyttelse af kreditmuligheden anvendes til beregning af de årlige omkostninger i procent, bør kreditgiver fremhæve omkostningerne i forbindelse med andre muligheder for at udnytte kreditmuligheden, som ikke nødvendigvis er dem, der anvendes til beregning af de årlige omkostninger i procent.
|
4)
|
Når der skal betales et gebyr for registrering af pantet eller en tilsvarende sikkerhedsstillelse, anføres det i dette afsnit med angivelse af beløbet, hvis det er kendt, eller, hvis dette ikke er muligt, grundlaget for beregning af beløbet. Når gebyrerne er kendt og indregnet i de årlige omkostninger i procent, skal gebyrets eksistens og beløbet anføres under »Engangsudgifter«. Når kreditgiver ikke kender gebyrerne, og de derfor ikke er indregnet i de årlige udgifter i procent, skal eksistensen af gebyret klart nævnes på listen over omkostninger, som kreditgiver ikke kender. I begge tilfælde skal den standardiserede formulering i del A anvendes under en passende benævnelse.
|
Afsnit 5. Betalingernes hyppighed og antal
1) Hvis der skal foretages regelmæssige betalinger, angives betalingernes hyppighed (f.eks. månedligt). Hvis betalingerne skal foretages uregelmæssigt, forklares dette udtrykkeligt for forbrugeren.
2) Det anførte antal betalinger skal omfatte hele lånets løbetid.
Afsnit 6. Ydelsernes størrelse
1)
|
Kredittens og ydelsernes valuta skal fremgå tydeligt.
|
2)
|
Hvis ydelserne kan variere i lånets løbetid, præciserer kreditgiver den periode, i hvilken den oprindelige ydelse forbliver uændret, og hvornår og hvor hyppigt den derefter ændrer sig.
|
3)
|
Når hele kreditten eller en del af den er afdragsfrit, indsættes der på en fremtrædende plads i slutningen af dette afsnit en erklæring herom; formuleringen i del A anvendes.
|
|
Hvis der er et krav om, at forbrugeren skal optage en bunden opsparing som en betingelse for, at der ydes en afdragsfri kredit med sikkerhed i pant eller tilsvarende sikkerhed, skal angives beløbene og hyppigheden af indbetalinger for dette produkt.
|
4)
|
Når debitorrenten er variabel, skal oplysningerne også omfatte en erklæring herom i formuleringen i del A og en illustration af en maksimumsydelse. Når der er et loft, skal illustrationen vise ydelserne, hvis debitorrenten stiger til loftet. Når der ikke er et loft, skal det værst tænkelige scenarie illustrere ydelserne med den højeste debitorrente i de sidste 20 år, eller hvis de data, der ligger til grund for beregningen af debitorrenten, er til rådighed for mindre end 20 år, den længste periode, for hvilken disse data er til rådighed, baseret på den højeste værdi af en ekstern referencerente, der er anvendt til beregningen af debitorrenten, hvis det er relevant, eller den højeste værdi af en referencerente, der er fastsat af Finanstilsynet eller Den Europæiske Banktilsynsmyndighed (EBA), når kreditgiver ikke anvender en ekstern referencerente. Kravet om, at der skal gives et illustrativt eksempel, gælder ikke for kreditaftaler, hvori debitorrenten er fastsat for en materiel indledende periode på flere år og derefter kan fastsættes for endnu en periode efter forhandling mellem kreditgiver og forbruger. Hvis en kredit består af flere dele (f.eks. en del med fast rente og en del med variabel rente), angives disse oplysninger for hver del af kreditten og i alt.
|
5)
|
(Hvis relevant) Hvis lånevalutaen er forskellig fra forbrugerens nationale valuta, eller hvis lånet er indekseret i en valuta, som er forskellig fra forbrugerens nationale valuta, angiver kreditgiver et taleksempel, hvoraf det klart fremgår, hvordan ændringer i den relevante valutakurs kan påvirke ydelserne; formuleringen i del A anvendes. Dette eksempel baseres på en 20 % reduktion af værdien af forbrugerens nationale valuta og en erklæring på en fremtrædende plads om, at ydelserne vil kunne stige med mere end beløbet i dette eksempel. Når der er et loft, som begrænser den stigning til mindre end 20 %, angives maksimumsværdien af betalingerne i forbrugerens valuta i stedet, og erklæringen om mulige yderligere stigninger udelades.
|
6)
|
Når kreditten helt eller delvis er en kredit med variabel rente, og punkt 3 finder anvendelse, skal illustrationen i punkt 5 gives på grundlag af den ydelse, der er omhandlet i punkt 1.
|
7)
|
Hvis den valuta, der anvendes til betaling af ydelserne, er forskellig fra lånevalutaen, eller hvis hver ydelses størrelse udtrykt i forbrugerens nationale valuta afhænger af det tilsvarende beløb i en anden valuta, angives i dette afsnit datoen for beregningen af den gældende kurs og enten kursen eller grundlaget for beregningen heraf og justeringshyppigheden. Disse oplysninger skal i givet fald indeholde navnet på det institut, der offentliggør valutakursen.
|
8)
|
Når kreditten er en kredit med udskudt rentebetaling, hvor renten ikke betales fuldt ud i ydelserne og lægges til den samlede restgæld, skal der gøres rede for, hvordan og hvornår de udskudte renter lægges til kreditten som et pengebeløb, og hvad virkningen heraf er for forbrugeren i forhold til den resterende gæld.
|
Afsnit 7. Illustrativ amortiseringstabel
1)
|
Dette afsnit medtages, når kreditten er en kredit med udskudt rentebetaling, hvor renten ikke betales fuldt ud i ydelserne og lægges til den samlede restgæld, eller hvor der er en fast debitorrente i kreditaftalens løbetid.
|
|
Når forbrugeren har ret til at modtage en revideret amortiseringstabel, angives dette sammen med betingelserne for denne ret.
|
2)
|
Den tabel, der skal medtages i dette afsnit, skal indeholde følgende kolonner: »tidsplan for tilbagebetaling« (f.eks. måned 1, måned 2, måned 3), »ydelse«, »rente, der betales pr. ydelse«, »andre omkostninger, der indgår i ydelsen« (hvis relevant), »kapital, der tilbagebetales pr. ydelse«, og »restgæld efter hver ydelse«.
|
3)
|
I det første tilbagebetalingsår anføres der oplysninger for hver ydelse, og der anføres en subtotal for hver kolonne ved udgangen af det første år. For de følgende år kan oplysningerne gives på årsbasis. I slutningen af tabellen anføres der en række med en samlet total, der indeholder de samlede beløb for hver kolonne. Den samlede kreditomkostning, som forbrugeren skal betale, (dvs. det samlede beløb fra kolonnen »ydelse«) fremhæves tydeligt og angives som sådan.
|
4)
|
Hvis debitorrenten ikke er fast, og ydelsen efter hver ændring er ukendt, kan kreditgiver i amortiseringstabellen angive den samme ydelse i hele lånets løbetid. I et sådant tilfælde skal kreditgiver henlede forbrugerens opmærksomhed på dette forhold ved visuelt at gøre forskel på de kendte beløb og de hypotetiske beløb (f.eks. ved at anvende en anden skrifttype, rammer eller skygge). Derudover skal en tydelig og læsbar tekst forklare, for hvilke perioder beløbene i tabellen kan variere og hvorfor.
|
Afsnit 8. Yderligere forpligtelser
1)
|
Kreditgiver skal i dette afsnit henvise til forpligtelser såsom forpligtelsen til at forsikre den faste ejendom, tegne livsforsikring, indbetale løn til en konto hos kreditgiver eller købe enhver anden vare eller tjenesteydelse. Kreditgiver skal for den enkelte forpligtelse præcisere, over for hvem og hvornår forpligtelsen skal opfyldes.
|
2)
|
Kreditgiver angiver forpligtelsens varighed, f.eks. indtil kreditaftalen udløber. Kreditgiver skal opføre hver enkelt omkostning, som forbrugeren skal betale, og som ikke er indregnet i de årlige omkostninger i procent.
|
3)
|
Kreditgiver angiver, om det er obligatorisk for forbrugeren at have accessoriske tjenesteydelser for at opnå lånet på de opstillede betingelser, og i givet fald om forbrugeren er forpligtet til at købe disse fra kreditgivers foretrukne udbyder, eller om de kan købes af en udbyder efter forbrugerens eget valg. Hvis en sådan mulighed er betinget af, at de accessoriske tjenesteydelser opfylder visse minimumskrav, bør sådanne krav beskrives i dette afsnit.
|
|
Når kreditaftalen indgår i en pakke med andre produkter, angiver kreditgiver disse produkters særlige kendetegn og anfører tydeligt, om forbrugeren har ret til at opsige kreditaftalen eller produkterne i pakken særskilt, betingelserne for og følgerne heraf og i givet fald de mulige konsekvenser ved at opsige de accessoriske tjenesteydelser, der kræves i forbindelse med kreditaftalen.
|
Afsnit 9. Førtidig tilbagebetaling
1) Kreditgiver anfører, på hvilke betingelser forbrugeren kan indfri kreditten før tid, enten helt eller delvis.
2) I afsnittet om gebyrer for førtidig tilbagebetaling henleder kreditgiver forbrugerens opmærksomhed på et eventuelt gebyr for førtidig tilbagebetaling eller andre omkostninger i forbindelse hermed for at kompensere kreditgiver og angiver om muligt beløbet. Hvis kompensationen for førtidig tilbagebetaling afhænger af forskellige faktorer, f.eks. det tilbagebetalte beløb eller den gældende rente på tidspunktet for den førtidige tilbagebetaling, oplyser kreditgiver, hvordan kompensationen vil blive beregnet, og angiver maksimumsgebyret, eller, hvis dette ikke er muligt, et illustrativt eksempel for at vise forbrugeren, hvor stor kompensationen for førtidig tilbagebetaling kan være i forskellige situationer.
Afsnit 10. Fleksible funktioner
1) Kreditgiver forklarer i givet fald muligheden og betingelserne for overførsel af kreditten til en anden kreditgiver eller fast ejendom.
2) (Hvis relevant) Yderligere funktioner: Hvis dette produkt indeholder en eller flere af de funktioner, der er anført i punkt 5 nedenfor, skal dette afsnit indeholde en oversigt over disse funktioner og give en kort forklaring af følgende: under hvilke omstændigheder forbrugeren kan gøre brug af funktionen; eventuelle betingelser knyttet til funktionen; hvorvidt det, at funktionen indgår i en kredit med sikkerhed i pant eller tilsvarende sikkerhed, indebærer, at forbrugeren mister nogen lovgivningsmæssig eller anden form for beskyttelse, der normalt er forbundet med funktionen; og hvilken virksomhed, der leverer funktionen (hvis ikke kreditgiver).
3) Hvis funktionen indeholder yderligere kredit, skal dette afsnit indeholde en forklaring til forbrugeren af følgende: det samlede kreditbeløb (herunder den kredit, der er sikret ved pant eller tilsvarende sikkerhed); hvorvidt den yderligere kredit er sikret eller ej; de relevante debitorrenter; og hvorvidt disse er reguleret eller ej. Et sådant yderligere kreditbeløb skal enten medtages i den oprindelige vurdering af kreditværdigheden eller, hvis den ikke medtages, skal det fremgå klart af dette afsnit, at adgangen til det yderligere beløb afhænger af en ny vurdering af forbrugerens evne til at tilbagebetale lånet.
4) Hvis funktionen omfatter en opsparingsordning, skal den relevante rentesats forklares.
5) Mulige yderlige funktioner omfatter: overbetalinger/underbetalinger [betaling af mere eller mindre end den ydelse, der normalt skal betales ifølge amortiseringsstrukturen]; afdragsfrie perioder [perioder, hvor forbrugeren ikke skal foretage betalinger]; tilbagelån [muligheden for, at forbrugeren atter kan låne midler, der allerede er udnyttet og tilbagebetalt]; yderligere optagelse af lån uden yderligere godkendelse; yderligere sikret eller ikkesikret lånoptagelse [i henhold til punkt 3 ovenfor]; kreditkort; tilknyttet løbende konto og tilknyttet opsparingskonto.
6) Kreditgiver kan inkludere andre funktioner, som vedkommende udbyder som dele af kreditaftalen, der ikke er omhandlet i de foregående afsnit.
Afsnit 11. Låntagers øvrige rettigheder
1) Kreditgiver gør rede for rettigheden (rettighederne), f.eks. fortrydelsesret eller ret til betænkningstid og i givet fald andre rettigheder såsom ret til overførsel (herunder subrogation), præciserer, hvilke rettigheder der findes, og anfører betingelserne for denne eller disse rettigheder, den procedure, som forbrugeren skal følge for at udøve denne eller disse rettigheder, bl.a. den adresse, hvortil meddelelsen om fortrydelse skal sendes, og i givet fald de tilsvarende gebyrer.
2) Når der gælder betænkningstid eller fortrydelsesret for forbrugeren, skal dette klart angives.
3) I henhold til artikel 3 i direktiv 2002/65/EF underrettes forbrugeren om, hvorvidt der findes en fortrydelsesret, hvis transaktionen tilbydes som en fjernsalgsaftale.
Afsnit 12. Klager
1) I dette afsnit angives det interne kontaktpunkt [navnet på den relevante afdeling] og kontaktoplysninger med henblik på klage [fysisk adresse] eller [telefonnummer] eller [kontaktperson:] [kontaktoplysninger] og et link til klageproceduren eller den relevante side på et websted eller en lignende informationskilde.
2) Der angives navnet på det relevante eksterne organ for udenretslige klager og tvistbilæggelse, og når anvendelse af den internationale klageprocedure er en betingelse for adgang til dette organ, angives dette i formuleringen i del A.
3) For kreditaftaler med en forbruger, der har bopæl i et anden medlemsland, henviser kreditgiver til Fin-Net (http://ec.europa.eu/internal_market/fin-net/).
Afsnit 13. Manglende overholdelse af forpligtelserne i forbindelse med lånet: konsekvenser for låntager
1) Hvis manglende overholdelse af forbrugerens forpligtelser i forbindelse med lånet kan have finansielle eller juridiske konsekvenser for forbrugeren, skal kreditgiver i dette afsnit beskrive de vigtigste tilfælde (f.eks. for sen betaling/misligholdelse, manglende overholdelse af forpligtelserne i afsnit 8 Yderligere forpligtelser) og angive, hvor der kan fås yderligere oplysninger.
2) For hvert enkelt af disse tilfælde beskriver kreditgiver på en klar og forståelig måde de sanktioner eller konsekvenser, det kan medføre. Henvisning til alvorlige konsekvenser fremhæves.
3) Når den faste ejendom, der anvendes til sikkerhedsstillelse for kreditten, kan tilbagegives eller overdrages til kreditgiver, hvis forbrugeren ikke opfylder betingelserne, skal dette afsnit indeholde en angivelse heraf i formuleringen i del A.
Afsnit 14. Yderligere information
1) I tilfælde af fjernsalg vil dette afsnit omfatte en bestemmelse om, hvilken lovgivning der skal anvendes på kreditaftalen, eller hvilken domstol der er kompetent.
2) Hvis kreditgiver har til hensigt at kommunikere med forbrugeren i løbet af aftaleperioden på et andet sprog end det, ESIS er affattet på, skal denne hensigt og kommunikationssproget fremgå. Denne artikel berører ikke artikel 3, stk. 1, nr. 3), litra g), i direktiv 2002/65/EF.
3) Kreditgiver eller kreditformidler angiver, at forbrugeren har ret til at få eller blive tilbudt en kopi af udkastet til kreditaftale, senest når der er givet et tilbud, der er bindende for kreditgiver.
Afsnit 15. Tilsynsførende
Den eller de relevante myndigheder, der er ansvarlige for tilsynet med fasen forud for aftaleindgåelse i forbindelse med lån, anføres.