Kreditaftaleloven

Bekendtgørelse af lov om kreditaftaler
LBK nr 761 af 11/06/2011
RessortJustitsministeriet
Underskrevet2011-06-11
Offentliggjort2011-06-30
Senest ændret2013-12-18
Historisk siden2014-04-09
⚠️ Dette dokument er historisk. Loven har nyere versioner eller er blevet ophævet.
i
Forstå loven hurtigere. Få resuméer og find svar med Lovkompas på mit.lovkompas.dk
Herved bekendtgøres lov om kreditaftaler, jf. lovbekendtgørelse nr. 157 af 25. februar 2009, med de ændringer, der følger af § 1 i lov nr. 535 af 26. maj 2010.

Kapitel 1

Indledende bestemmelser

Lovens anvendelsesområde

§ 1

Loven finder anvendelse på kreditaftaler, hvor en kreditgiver yder eller giver tilsagn om at yde kredit til en forbruger.

Stk. 2.

Loven gælder også for kreditaftaler, hvor kreditten ydes af en ikke-erhvervsdrivende, hvis aftalen er indgået eller formidlet for kreditgiveren af en erhvervsdrivende.

Stk. 3.

Kreditgiveren har bevisbyrden for, at en kreditaftale ikke er omfattet af loven.

§ 2

Lovens kapitel 11 gælder for kreditkøb, der ikke er forbrugerkøb. Kapitel 11 gælder dog ikke for erhvervsdrivendes køb til videresalg eller af materialer, der indgår i virksomhedens produktion.

§ 3

Loven finder ikke anvendelse på:
Kreditaftaler, hvor kreditten ydes rentefrit og uden andre omkostninger.
Kreditaftaler, ifølge hvilke kreditten skal betales tilbage inden 3 måneder, og som kun er forbundet med ubetydelige omkostninger.
Kreditaftaler, som vedrører henstand uden omkostninger med betalingen af en eksisterende gæld.
Kreditaftaler, som er resultatet af et forlig indgået for retten.
Leje- eller leasingaftaler, hvor der ikke er fastsat nogen pligt til at købe aftalegenstanden, hverken i selve aftalen eller i en separat aftale.
Kreditaftaler i form af overtræk. Kapitel 1, § 8 b og kapitel 13 finder dog anvendelse på kreditaftaler efter 1. pkt.
Kreditaftaler, ifølge hvilke kreditgiveren og forbrugeren aftaler henstand med betalingen eller aftaler, hvorledes kreditten tilbagebetales. Dette gælder dog kun, hvis forbrugeren allerede har misligholdt den oprindelige kreditaftale, og hvor sådanne ordninger kan forventes at afværge en retssag om den pågældende misligholdelse, og forbrugeren ikke dermed stilles ringere end som fastsat i den oprindelige kreditaftale. Kapitel 1, § 7 b, § 7 c, stk. 3, § 8, stk. 1, § 8, stk. 2, nr. 1-9, 12 og 18, § 8, stk. 4, § 8 b, § 9, § 16, § 17, § 26, § 27 og kapitel 13 finder dog anvendelse.

Stk. 2.

§ 7 a, § 8, stk. 2, 3, 6 og 7, § 8 b, § 9, § 19, § 26 og § 27 finder ikke anvendelse på kreditaftaler i form af kassekredit, hvor kreditten skal betales tilbage på anfordring eller inden 3 måneder.

Stk. 3.

Hvis en kreditaftale er omfattet af både stk. 1, nr. 7, og stk. 2, finder stk. 1, nr. 7, ikke anvendelse.

§ 4

I denne lov forstås ved:
Forbruger: En person, der i forbindelse med transaktioner, der er omfattet af denne lov, hovedsagelig handler uden for sit erhverv.
Kreditgiver: En fysisk eller juridisk person, der yder eller giver tilsagn om at yde kredit som led i udøvelsen af sin erhvervsmæssige virksomhed.
Kreditaftale: En aftale, hvorved en kreditgiver yder eller giver tilsagn om at yde en forbruger kredit i form af henstand med betalingen, lån eller anden tilsvarende form for finansiel ordning, undtagen aftaler om løbende levering af tjenesteydelser eller varer af samme art, hvor forbrugeren betaler for ydelserne eller varerne i rater, så længe de leveres.
Kassekredit: En udtrykkelig kreditaftale, hvorved en kreditgiver stiller midler til rådighed for en forbruger, som overstiger den løbende saldo på forbrugerens løbende konto.
Overtræk: Et stiltiende accepteret overtræk, hvorved en kreditgiver tillader, at en forbruger disponerer over midler, som overstiger den løbende saldo på forbrugerens løbende konto eller den aftalte kassekredit.
Kreditformidler: En fysisk eller juridisk person, der ikke optræder som kreditgiver, og som mod betaling af et honorar, der kan antage form af penge eller en anden aftalt form for finansiel modydelse, som led i udøvelsen af sin erhvervsmæssige virksomhed
præsenterer kreditaftaler for forbrugere eller tilbyder kreditaftaler til forbrugere,
bistår forbrugere ved at udføre andet forberedende arbejde med henblik på kreditaftaler end det, der er omhandlet i litra a, eller
indgår kreditaftaler med forbrugere på kreditgiverens vegne.
Samlede omkostninger i forbindelse med kreditaftalen: Alle omkostninger, herunder renter, provision, afgifter og enhver anden form for honorar, som forbrugeren skal betale i forbindelse med kreditaftalen, og som kreditgiveren har kendskab til, bortset fra notarialgebyrer. Omkostninger ved accessoriske tjenesteydelser i forbindelse med kreditaftalen, navnlig forsikringspræmier, medregnes også, såfremt indgåelsen af aftalen om tjenesteydelser desuden er obligatorisk for at opnå kreditten eller for at opnå kreditten på de annoncerede vilkår og betingelser.
Samlet beløb, der skal betales af forbrugeren: Summen af det samlede kreditbeløb og de samlede omkostninger i forbindelse med kreditaftalen.
Årlige omkostninger i procent: De samlede omkostninger i forbindelse med kreditaftalen udtrykt i procent pr. år af det samlede kreditbeløb, eventuelt omfattende de omkostninger, der er nævnt i § 16, stk. 3 og 4.
Debitorrente: Den rentesats udtrykt i en fast eller variabel procentsats, der anvendes på årsbasis på de udnyttede kreditmuligheder.
Fast debitorrente: At kreditgiveren og forbrugeren i kreditaftalen aftaler én debitorrente for hele kreditaftalens løbetid eller flere debitorrenter for delperioder, hvor der udelukkende anvendes en fast, specifik procentsats. Hvis aftalen ikke angiver alle debitorrenterne, anses debitorrenten kun som fastsat for de delperioder, for hvilke de udelukkende er fastsat ved en fast, specifik procentsats, der er aftalt ved indgåelsen af kreditaftalen.
Samlet kreditbeløb: Loftet for eller summen af alle beløb, der stilles til disposition i henhold til en kreditaftale.
Varigt medium: En indretning, som sætter forbrugeren i stand til at lagre oplysninger rettet til forbrugeren personligt på en måde, der muliggør senere søgning i et tidsrum, som er afpasset efter oplysningernes formål, og som giver mulighed for uændret gengivelse af de lagrede oplysninger.
Tilknyttet kreditaftale: En kreditaftale, ifølge hvilken
den pågældende kredit udelukkende tjener til at finansiere en aftale om levering af specifikke varer eller specifikke tjenesteydelser og
kreditaftalen og aftalen om levering udgør en kommerciel helhed, idet der anses at foreligge en kommerciel helhed, når leverandøren selv finansierer forbrugerens kredit, eller, såfremt finansieringen sker gennem tredjemand, når kreditgiveren i forbindelse med indgåelsen eller forberedelsen af kreditaftalen gør brug af leverandørens tjenester, eller når den specifikke vare eller ydelsen af en specifik tjenesteydelse udtrykkeligt er angivet i kreditaftalen.
Kreditkøb: En kreditaftale med henblik på køb af løsøre, hvorefter
køberen efter aftale med sælgeren har fået henstand med betaling af købesummen eller en del af denne eller
købesummen helt eller delvis dækkes ved lån indrømmet køberen af en tredjemand på grundlag af en aftale herom mellem denne og sælgeren.
Køb med ejendomsforbehold: Et kreditkøb, hvor det er aftalt, at sælgeren kan tage det solgte tilbage, hvis køberen ikke opfylder sine forpligtelser. Som køb med ejendomsforbehold anses også en aftale, der er betegnet som lejekontrakt, eller hvorefter betalingen i øvrigt fremtræder som vederlag for brug af tingen, såfremt det må antages at have været meningen, at modtageren af tingen skal blive ejer af den.

§ 5

(Ophævet)

§ 6

(Ophævet)

Lovens fravigelighed

§ 7

Loven og de i medfør af denne udfærdigede forskrifter kan ikke ved aftale fraviges til skade for forbrugeren.

Stk. 2.

I ikke-forbrugerkøb kan reglerne fraviges ved aftale. De kan dog ikke fraviges til skade for køberen ifølge et køb med ejendomsforbehold.

Kapitel 2

Kreditgiverens oplysningspligt m.v.

Oplysningspligt forud for aftaleindgåelsen

§ 7a

Før en forbruger bindes af en kreditaftale eller et kredittilbud, giver kreditgiveren og i givet fald kreditformidleren på grundlag af de kreditvilkår og -betingelser, som kreditgiveren tilbyder, og i givet fald forbrugerens præferencer og oplysninger forbrugeren de oplysninger, der er nødvendige for at sammenligne forskellige tilbud, så der kan træffes en informeret beslutning om indgåelsen af en kreditaftale. Oplysningerne gives på papir eller på et andet varigt medium ved hjælp af formularen i lovens bilag 2.

Stk. 2.

Oplysningerne i henhold til stk. 1 skal omfatte:
Kredittypen.
Navn og fysisk adresse på kreditgiveren og i givet fald navn og fysisk adresse på den involverede kreditformidler.
Det samlede kreditbeløb og betingelserne for at udnytte kreditmuligheden.
Kreditaftalens løbetid.
Ved kredit i form af henstand med betalingen for en specifik vare eller tjenesteydelse og tilknyttede kreditaftaler, varen eller tjenesteydelsen og kontantprisen herfor.
Debitorrenten, betingelserne for anvendelsen af debitorrenten og et eventuelt indeks eller en eventuel referencesats, der skal anvendes på den oprindelige debitorrente, og tidspunkter, betingelser og procedurer for ændring af debitorrenten. Hvis der anvendes forskellige debitorrenter under forskellige omstændigheder, angives de nævnte oplysninger for alle de relevante debitorrenter.
De årlige omkostninger i procent og det samlede beløb, som skal betales af forbrugeren, illustreret ved et repræsentativt eksempel, som angiver alle de antagelser, der er lagt til grund for at beregne procentsatsen. Hvis forbrugeren har informeret kreditgiveren om et eller flere elementer i den kredit, vedkommende foretrækker, som f.eks. kreditaftalens løbetid og det samlede kreditbeløb, skal kreditgiveren tage hensyn til disse elementer. Hvis en kreditaftale giver forskellige muligheder for at udnytte kreditmuligheden med forskellige omkostninger eller debitorrenter, og kreditgiveren derfor anvender det loft for kreditten, som fremgår af antagelsen i lovens bilag 1, skal kreditgiveren angive, at andre muligheder for at udnytte kreditmuligheden for denne type kreditaftale kan medføre højere årlige omkostninger i procent.
Størrelse, antal og hyppighed af de betalinger, der skal foretages af forbrugeren, og i givet fald den rækkefølge, hvori betalingerne henføres til forskellige udestående saldi til forskellige debitorrenter med henblik på tilbagebetaling.
Hvor det er relevant, omkostningerne i forbindelse med forvaltning af en eller flere konti til registrering af både betalingstransaktioner og udnyttelser af kreditmuligheden, medmindre det ikke er obligatorisk at åbne en konto, tillige med omkostningerne ved anvendelse af et betalingsmiddel i forbindelse med både betalingstransaktioner og udnyttelser af kreditmuligheden, andre omkostninger i forbindelse med kreditaftalen og betingelserne for en eventuel ændring af disse omkostninger.
Hvor det er relevant, om der er omkostninger, som forbrugeren skal betale til en notar ved indgåelsen af kreditaftalen.
Den eventuelle forpligtelse til at indgå en aftale om en accessorisk tjenesteydelse i forbindelse med kreditaftalen, navnlig en forsikringspolice, såfremt indgåelsen af en aftale om en sådan accessorisk tjenesteydelse er obligatorisk for at opnå kreditten eller for at opnå kreditten på de annoncerede vilkår og betingelser.
Den gældende sats for morarenter og måden, denne sats tilpasses på, og, hvor det er relevant, eventuelle omkostninger i forbindelse med misligholdelse.
Oplysning om følgerne af manglende betalinger.
Hvor det er relevant, den sikkerhedsstillelse, som kræves.
Hvorvidt en fortrydelsesret finder anvendelse eller ej.
Retten til førtidig tilbagebetaling og, hvor det er relevant, oplysninger om kreditgiverens ret til kompensation og om, hvordan denne kompensation fastsættes i overensstemmelse med § 26.
Forbrugerens ret til omgående underretning uden omkostninger i henhold til § 7 c, stk. 3, om resultatet af databasesøgninger, der er foretaget med henblik på vurdering af den pågældendes kreditværdighed.
Forbrugerens ret til efter anmodning og uden omkostninger at få udleveret en kopi af udkastet til kreditaftale. 1. pkt. finder ikke anvendelse, hvis kreditgiveren på tidspunktet for anmodningen ikke er villig til at indgå kreditaftalen med forbrugeren.
Hvis det er relevant, hvor længe oplysningerne, der er afgivet forud for aftaleindgåelsen, er bindende for kreditgiveren.

Stk. 3.

Eventuelle supplerende oplysninger fra kreditgiveren til forbrugeren gives i et særskilt dokument, der som bilag kan tilknyttes formularen i lovens bilag 2.

Stk. 4.

Ved anvendelse af taletelefoni skal beskrivelsen af den finansielle tjenesteydelse med forbrugerens samtykke alene omfatte tjenesteydelsens karakter og væsentligste egenskaber, dog mindst de oplysninger, der fremgår af stk. 2, nr. 3-6 og 8, samt de årlige omkostninger i procent illustreret ved et repræsentativt eksempel og det samlede beløb, som skal betales af forbrugeren.

Stk. 5.

Hvis aftalen på forbrugerens anmodning er indgået ved anvendelse af en fjernkommunikationsteknik, som ikke gør det muligt at give oplysningerne i overensstemmelse med stk. 1 og 2, navnlig i det tilfælde, der er omhandlet i stk. 4, skal kreditgiveren give forbrugeren de pågældende oplysninger i komplet form ved brug af formularen i lovens bilag 2 umiddelbart efter kreditaftalens indgåelse.

Stk. 6.

Ud over formularen i lovens bilag 2 skal forbrugeren efter anmodning og uden omkostninger modtage en kopi af udkastet til kreditaftale. 1. pkt. finder ikke anvendelse, hvis kreditgiveren på tidspunktet for anmodningen ikke er villig til at indgå kreditaftalen med forbrugeren.

Stk. 7.

Hvis der er tale om en kreditaftale, ifølge hvilken de betalinger, forbrugeren foretager, ikke umiddelbart fører til en tilsvarende amortisation af det samlede kreditbeløb, men tjener til at opbygge kapital på de tidspunkter og betingelser, der er fastsat i kreditaftalen eller en accessorisk aftale, omfatter de oplysninger forud for aftaleindgåelsen, der kræves i henhold til stk. 1 og 2, en klar og tydelig angivelse af, at en sådan kreditaftale ikke garanterer tilbagebetaling af det samlede udnyttede kreditbeløb i henhold til kreditaftalen, medmindre der er givet en sådan garanti.

Stk. 8.

Kreditgiveren og i givet fald kreditformidleren skal give forbrugeren fyldestgørende forklaringer, således at forbrugeren er i stand til at vurdere, om den foreslåede kreditaftale passer til vedkommendes behov og finansielle situation, hvor det er relevant, ved at forklare de oplysninger forud for aftaleindgåelsen, der skal gives i henhold til stk. 1 og 2, de foreslåede produkters vigtigste karakteristika og de specifikke konsekvenser, disse produkter kan få for forbrugeren, herunder konsekvenserne af forbrugerens betalingsmisligholdelse.

Stk. 9.

Stk. 1-8 finder ikke anvendelse på leverandører af varer eller tjenesteydelser, der accessorisk optræder som kreditformidlere. I disse tilfælde skal kreditgiveren sikre, at forbrugeren forud for aftaleindgåelsen modtager oplysningerne efter stk. 1-8.

Stk. 10.

For så vidt angår lån mod pant i fast ejendom, der ydes på baggrund af obligationsudstedelse, kan kreditgiveren i stedet for formularen i lovens bilag 2 anvende et andet oplysningsskema, som er godkendt af justitsministeren.

Oplysningspligt forud for aftaleindgåelsen i forbindelse med visse særlige former for kreditaftaler

§ 7b

Før forbrugeren bliver bundet af en kreditaftale eller et kredittilbud efter § 3, stk. 1, nr. 7, eller § 3, stk. 2, giver kreditgiveren og i givet fald kreditformidleren på grundlag af de kreditvilkår og -betingelser, som kreditgiveren tilbyder, og i givet fald forbrugerens præferencer og oplysninger forbrugeren de oplysninger, der er nødvendige for at sammenligne forskellige tilbud, så der kan træffes en informeret beslutning om indgåelsen af en kreditaftale.

Stk. 2.

Oplysningerne i henhold til stk. 1 skal omfatte:
Kredittypen
Navn og fysisk adresse på kreditgiveren og i givet fald navn og fysisk adresse på den involverede kreditformidler.
Det samlede kreditbeløb.
Kreditaftalens løbetid.
Debitorrenten, betingelserne for anvendelsen af debitorrenten og et eventuelt indeks eller en eventuel referencesats, der skal anvendes på den oprindelige debitorrente, de omkostninger, der anvendes fra det tidspunkt, hvor kreditaftalen indgås, og i givet fald betingelserne for ændring af disse omkostninger.
De årlige omkostninger i procent illustreret ved hjælp af repræsentative eksempler, som angiver alle de antagelser, der er lagt til grund for at beregne denne procentsats.
Betingelserne og proceduren for opsigelse af kreditaftalen.
Hvor det er relevant, en angivelse af, at forbrugeren til enhver tid kan blive anmodet om at betale hele kreditbeløbet tilbage.
Den gældende sats for morarenter og måden, denne sats tilpasses på, og, hvor det er relevant, andre omkostninger i forbindelse med misligholdelse.
Forbrugerens ret til omgående underretning uden omkostninger i henhold til § 7 c, stk. 3, om resultatet af databasesøgninger, der er foretaget med henblik på vurdering af forbrugerens kreditværdighed.
Ved kreditaftaler, der er omfattet af § 3, stk. 2, oplysninger om de omkostninger, der påløber fra kreditaftalens indgåelse, og, hvor det er relevant, om betingelserne for ændring af de pågældende omkostninger.
Hvor det er relevant, hvor længe de oplysninger, der er afgivet forud for aftaleindgåelsen, er bindende for kreditgiveren.

Stk. 3.

Oplysningerne efter stk. 1 og 2 gives på papir eller på et andet varigt medium, og alle oplysningerne skal være lige fremtrædende. Oplysningerne kan gives ved hjælp af formularen i lovens bilag 3.

Stk. 4.

I forbindelse med kreditaftaler, som er omfattet af § 3, stk. 1, nr. 7, omfatter de oplysninger, der gives forbrugeren i henhold til stk. 1 og 2, også størrelse, antal og hyppighed af de betalinger, der skal foretages af forbrugeren, og i givet fald den rækkefølge, hvori betalingerne henføres til forskellige udestående saldi til forskellige debitorrenter med henblik på tilbagebetaling, samt oplysning om retten til førtidig tilbagebetaling og, hvor det er relevant, oplysninger om kreditgiverens ret til kompensation og om, hvordan denne kompensation fastsættes. 1. pkt. finder dog ikke anvendelse, hvis kreditaftalen tillige er omfattet af § 3, stk. 2.

Stk. 5.

Hvis der anvendes taletelefoni og forbrugeren anmoder om en kassekredit med øjeblikkelig virkning, omfatter den finansielle tjenesteydelses vigtigste karakteristika dog mindst de oplysninger, som er nævnt i stk. 2, nr. 3, 5, 6 og 8. Hvis kreditaftalen er omfattet af § 3, stk. 1, nr. 7, skal kreditaftalens løbetid endvidere angives.

Stk. 6.

Ud over de oplysninger, der er omhandlet i stk. 1-5, skal forbrugeren efter anmodning uden omkostninger modtage en kopi af udkastet til kreditaftale med de oplysninger, som kræves efter § 8, hvis denne bestemmelse finder anvendelse. 1. pkt. finder ikke anvendelse, hvis kreditgiveren på tidspunktet for anmodningen ikke vil indgå kreditaftalen med forbrugeren.

Stk. 7.

Hvis aftalen på forbrugerens anmodning er indgået ved anvendelse af en fjernkommunikationsteknik, som ikke gør det muligt at give oplysningerne i overensstemmelse med stk. 1 og 2, herunder i de tilfælde, der er omhandlet i stk. 5, skal kreditgiveren umiddelbart efter kreditaftalens indgåelse opfylde sine forpligtelser i henhold til stk. 1 og 2 ved at give de oplysninger, som kræves i henhold til § 8, hvis denne bestemmelse finder anvendelse.

Stk. 8.

Stk. 1-7 finder ikke anvendelse på leverandører af varer eller tjenesteydelser, der accessorisk optræder som kreditformidlere. I disse tilfælde skal kreditgiveren sikre, at forbrugeren forud for aftaleindgåelsen modtager oplysningerne efter stk. 1-7.

Vurdering af forbrugerens kreditværdighed

§ 7c

Kreditgiveren skal inden kreditaftalens indgåelse vurdere forbrugerens kreditværdighed på grundlag af fyldestgørende oplysninger, der, hvor det er relevant, indhentes hos forbrugeren og, hvor det er nødvendigt, ved søgning i relevante databaser.

Stk. 2.

Hvis kreditgiveren og forbrugeren efter kreditaftalens indgåelse bliver enige om at ændre det samlede kreditbeløb, skal kreditgiveren ajourføre de finansielle oplysninger, som kreditgiveren har om forbrugeren. Før enhver væsentlig forhøjelse af det samlede kreditbeløb skal kreditgiveren atter vurdere forbrugerens kreditværdighed.

Stk. 3.

Hvis en anmodning om kredit afslås på grundlag af søgning i en database, underretter kreditgiveren omgående forbrugeren om resultatet af en sådan søgning og giver forbrugeren nærmere oplysninger om den pågældende database. Denne underretning skal ske uden omkostninger for forbrugeren.

Krav til kreditaftalen

§ 8

En kreditaftale skal udfærdiges på papir eller på et andet varigt medium. Alle aftaleparter skal have et eksemplar af kreditaftalen.

Stk. 2.

Kreditaftalen skal klart og tydeligt angive:
Kredittypen.
Navn og fysisk adresse på aftaleparterne og i givet fald på den involverede kreditformidler.
Kreditaftalens løbetid.
Det samlede kreditbeløb og betingelserne for at udnytte kreditmuligheden.
Såfremt der er tale om en kredit i form af henstand med betalingen for en specifik vare eller tjenesteydelse eller om tilknyttede kreditaftaler, varen eller tjenesteydelsen og kontantprisen herfor.
Debitorrenten, betingelserne for anvendelsen af debitorrenten og et eventuelt indeks eller en eventuel referencesats, der skal anvendes på den oprindelige debitorrente, samt tidspunkter, betingelser og procedurer for ændring af debitorrenten. Hvis der anvendes forskellige debitorrenter under forskellige omstændigheder, angives de nævnte oplysninger med hensyn til alle de relevante debitorrenter.
De årlige omkostninger i procent og det samlede beløb, som skal betales af forbrugeren, beregnet på tidspunktet for indgåelse af kreditaftalen. Alle de antagelser, der er lagt til grund ved beregningen af denne procentsats, angives.
Størrelse, antal og hyppighed af de betalinger, der skal foretages af forbrugeren, og i givet fald den rækkefølge, hvori betalingerne henføres til forskellige udestående saldi til forskellige debitorrenter med henblik på tilbagebetaling.
Såfremt der er tale om amortisation af kapitalen i forbindelse med en kreditaftale med fast løbetid, forbrugerens ret til på anmodning til enhver tid i løbet af kreditaftalens varighed uden omkostninger at modtage en opgørelse i form af en amortiseringsplan. Amortiseringsplanen skal angive skyldige betalinger og tidspunkter og betingelser for betaling af sådanne beløb, og den skal indeholde en specificering af den enkelte tilbagebetaling, som viser amortiseringen af kapitalen, renterne beregnet på grundlag af debitorrenten og, hvor det er relevant, eventuelle yderligere omkostninger. Hvis rentesatsen ikke er fast eller de yderligere omkostninger kan ændres i kreditaftalens løbetid, skal amortiseringsplanen klart og tydeligt angive, at oplysningerne i planen kun er gyldige indtil næste ændring af debitorrenten eller af de yderligere omkostninger i henhold til kreditaftalen.
Såfremt der skal betales omkostninger og renter uden amortisation af hovedstolen, en opgørelse over tidspunkter og betingelser for betaling af renter og eventuelle dermed forbundne faste omkostninger og engangsomkostninger.
Hvor det er relevant, omkostningerne i forbindelse med forvaltning af en eller flere konti til registrering af både betalingstransaktioner og udnyttelser af kreditmuligheden, medmindre det ikke er obligatorisk at åbne en konto, tillige med omkostningerne ved anvendelse af et betalingsmiddel i forbindelse med både betalingstransaktioner og udnyttelser af kreditmuligheden, andre omkostninger i forbindelse med kreditaftalen og betingelserne for en eventuel ændring af disse omkostninger.
Den gældende sats for morarenter som fastsat på tidspunktet for indgåelse af aftalen og måden, denne sats tilpasses på, og, hvor det er relevant, andre omkostninger i forbindelse med misligholdelse.
Oplysning om følgerne af manglende betalinger.
Hvor det er relevant, at der skal betales notarialgebyrer.
Den sikkerhedsstillelse og de forsikringer, som eventuelt kræves.
En eventuel fortrydelsesret og fristen for udøvelse af en sådan fortrydelsesret samt andre betingelser for udøvelsen, herunder oplysninger om forbrugerens forpligtelse til at tilbagebetale den udnyttede kapital med renter i overensstemmelse med § 19, stk. 4, og det rentebeløb, der påløber pr. dag.
Oplysninger om forbrugerens rettigheder i medfør af § 20 og betingelserne for udøvelse af disse.
Retten til førtidig tilbagebetaling, proceduren for førtidig tilbagebetaling og, hvor det er relevant, oplysninger om kreditgiverens ret til kompensation og den måde, hvorpå denne kompensation fastsættes.
Proceduren for udøvelse af retten til at opsige kreditaftalen.
Hvorvidt der er klageadgang og adgang til udenretslig bilæggelse af tvister for forbrugeren, og, hvis dette er tilfældet, hvorledes forbrugeren kan gøre brug deraf.
Hvor det er relevant, andre aftalevilkår og -betingelser.
Navn og adresse på den kompetente tilsynsmyndighed.

Stk. 3.

Hvis stk. 2, nr. 9, finder anvendelse, skal kreditgiveren til enhver tid i løbet af kreditaftalens varighed uden omkostninger stille en opgørelse i form af en amortiseringsplan til rådighed for forbrugeren.

Stk. 4.

Hvis der er tale om en kreditaftale, ifølge hvilken de betalinger, forbrugeren foretager, ikke umiddelbart fører til en tilsvarende amortisation af det samlede kreditbeløb, men tjener til at opbygge kapital på de tidspunkter og betingelser, der er fastsat i kreditaftalen eller en accessorisk aftale, omfatter de oplysninger, der kræves i henhold til stk. 2, en klar og tydelig angivelse af, at en sådan kreditaftale ikke garanterer tilbagebetaling af det samlede udnyttede kreditbeløb i henhold til kreditaftalen, medmindre der er givet en sådan garanti.

Stk. 5.

I forbindelse med kreditaftaler i form af kassekredit i henhold til § 3, stk. 2, skal følgende angives klart og tydeligt:
Kredittypen
Navn og adresse på aftaleparterne og i givet fald på den involverede kreditformidler.
Kreditaftalens løbetid.
Det samlede kreditbeløb og betingelserne for at udnytte kreditmuligheden.
Debitorrenten, betingelserne for anvendelsen af debitorrenten og et eventuelt indeks eller en eventuel referencesats, der skal anvendes på den oprindelige debitorrente, samt tidspunkter, betingelser og procedurer for ændring af debitorrenten. Hvis der anvendes forskellige debitorrenter under forskellige omstændigheder, angives de nævnte oplysninger med hensyn til alle de relevante debitorrenter.
De årlige omkostninger i procent og de samlede omkostninger, som skal betales af forbrugeren, beregnet på tidspunktet for indgåelse af kreditaftalen. Alle de antagelser, der er lagt til grund ved beregningen af denne procentsats, jf. § 16, stk. 3 og 4, og § 4, nr. 7 og 9, angives.
En angivelse af, at forbrugeren til enhver tid kan blive anmodet om at betale hele kreditbeløbet tilbage.
Oplysninger om de omkostninger, der påløber fra sådanne kreditaftalers indgåelse, og, når det er relevant, om betingelserne for ændring af de pågældende omkostninger.

Stk. 6.

Medmindre kreditgiveren er et godkendt pengeinstitut, realkreditinstitut eller kreditinstitut, kan det i kreditaftalen alene aftales, at renten helt eller delvis skal variere med størrelsen af Nationalbankens diskonto eller lignende forhold, som kreditgiveren er uden indflydelse på.

Stk. 7.

Stk. 6 finder tilsvarende anvendelse med hensyn til andre kreditomkostninger end renten.

Pantsikrede lån i fast ejendom

§ 8a

Ved kreditaftaler, der sikres ved pant i fast ejendom, skal de oplysninger, der er nævnt i § 8, og aftalens øvrige væsentlige vilkår gives forud for kreditaftalens indgåelse, jf. § 7 a.

Stk. 2.

Yder en sælger af en fast ejendom kredit mod udstedelse af pantebrev i den faste ejendom, skal de oplysninger, der er nævnt i stk. 1, gives i aftalen om ejendommens overdragelse. Heri skal kreditgiveren endvidere oplyse forbrugeren om, hvilket beløb der skal betales, hvis forbrugeren kan betale kontant hos kreditgiveren i stedet for at udstede pantebrev.

Stk. 3.

Hvis de oplysninger, der er givet efter stk. 1 eller 2, er af foreløbig karakter, skal kreditgiveren snarest muligt sende meddelelse om de endelige kreditoplysninger til forbrugeren.

Stk. 4.

I øvrigt finder § 8 tilsvarende anvendelse på kreditaftaler efter stk. 1 og 2.

Overtræk

§ 8b

Ved indgåelse af en aftale om oprettelse af en løbende konto, hvor det eventuelt vil kunne tillades forbrugeren at overtrække kontoen, skal aftalen indeholde de oplysninger, der er omhandlet i § 7 b, stk. 2, nr. 5. Disse oplysninger skal gives regelmæssigt på papir eller på et andet varigt medium.

Stk. 2.

I tilfælde af et væsentligt overtræk i en periode på over 1 måned skal kreditgiveren straks på papir eller på et andet varigt medium underrette forbrugeren om følgende:
Overtrækket.
Det involverede beløb.
Debitorrenten.
En eventuel bod og eventuelle omkostninger eller morarenter.

Underretning om ændringer i debitorrenten

§ 9

Kreditgiveren skal underrette forbrugeren om enhver ændring i debitorrenten. Underretningen skal ske på papir eller på et andet varigt medium og skal ske, inden ændringen træder i kraft, jf. dog stk. 3 og 4.

Stk. 2.

Underretningen efter stk. 1 skal indeholde oplysning om betalingernes størrelse, efter at den nye debitorrente er trådt i kraft, og, såfremt betalingernes antal eller hyppighed ændres, oplysninger herom.

Stk. 3.

Kreditgiveren og forbrugeren kan i kreditaftalen fastsætte, at oplysninger efter stk. 1 og 2 gives til forbrugeren med jævne mellemrum i de tilfælde, hvor
ændringen i debitorrenten skyldes en ændring i en referencesats,
den nye referencesats er gjort tilgængelig for offentligheden på passende vis og
oplysninger om den nye referencesats også er tilgængelige hos kreditgiveren.

Stk. 4.

Ved refinansiering af variabelt forrentede lån med pant i fast ejendom, der ydes på baggrund af obligationsudstedelse, kan underretning om en ændring i debitorrenten efter stk. 1 og 2 ske, efter at ændringen er trådt i kraft.

Kontoudtog og underretning om ændringer i debitorrenten ved kassekreditter

§ 10

Når en kreditaftale vedrører en kredit i form af en kassekredit, skal kreditgiveren jævnligt orientere forbrugeren via et kontoudtog på papir eller på et andet varigt medium.

Stk. 2.

Kontoudtog efter stk. 1 skal indeholde oplysninger om:
Den nøjagtige periode, som kontoudtoget dækker.
Størrelsen på de udnyttede kreditmuligheder og datoerne for udnyttelserne.
Saldoen på det foregående kontoudtog og dettes dato.
Den nye saldo.
Datoerne for betalinger og betalingernes størrelse.
Den anvendte debitorrente.
Eventuelle omkostninger, der er pålagt.
Det eventuelle minimumsbeløb, der skal betales.

Stk. 3.

Kreditgiveren skal endvidere på papir eller på et andet varigt medium underrette forbrugeren om enhver stigning i debitorrenten eller andre omkostninger, inden den pågældende ændring træder i kraft, jf. dog stk. 4.

Stk. 4.

Kreditgiveren og forbrugeren kan i kreditaftalen fastsætte, at oplysningerne om ændringerne i debitorrenten gives på kontoudtog efter stk. 1 i de tilfælde, hvor
ændringen i debitorrenten skyldes en ændring i en referencesats,
den nye referencesats er gjort tilgængelig for offentligheden på passende vis og
oplysninger om den nye referencesats også er tilgængelige hos kreditgiveren.

§ 11

(Ophævet)

§ 12

(Ophævet)

§ 13

(Ophævet)

§ 14

(Ophævet)

§ 15

(Ophævet)

Beregning af de årlige omkostninger i procent

§ 16

De årlige omkostninger i procent svarer på årsbasis til nutidsværdien af alle fremtidige eller eksisterende forpligtelser i form af udnyttede kreditmuligheder, tilbagebetalinger og omkostninger, der er aftalt mellem kreditgiveren og forbrugeren.

Stk. 2.

De årlige omkostninger i procent beregnes ud fra den matematiske formel i lovens bilag 1.

Stk. 3.

Ved beregningen af de årlige omkostninger i procent bestemmes de samlede omkostninger i forbindelse med forbrugerkreditten bortset fra
andre omkostninger, som forbrugeren skal betale i forbindelse med misligholdelse af en af de forpligtelser, der er fastsat i kreditaftalen, og
de omkostninger ud over købsprisen, som forbrugeren skal betale i forbindelse med køb af varer eller tjenesteydelser, uanset om transaktionen foretages kontant eller på kredit.

Stk. 4.

Omkostningerne ved forvaltningen af en konto til registrering af både betalingstransaktioner og udnyttelse af kreditmuligheden, omkostningerne ved anvendelse af et betalingsmiddel i forbindelse med både betalingstransaktioner og udnyttelser af kreditmuligheden og andre omkostninger i forbindelse med betalingstransaktioner skal indgå i de samlede omkostninger i forbindelse med forbrugerkreditten, medmindre det ikke er obligatorisk at åbne kontoen og omkostningerne i forbindelse med kontoen klart er angivet separat i kreditaftalen eller i en eventuel anden aftale, der er indgået med forbrugeren.

Stk. 5.

Beregningen af de årlige omkostninger i procent baseres på den antagelse, at kreditaftalen forbliver gyldig i det aftalte tidsrum, og at kreditgiveren og forbrugeren opfylder deres forpligtelser på de vilkår og datoer, der er angivet i kreditaftalen.

Stk. 6.

I forbindelse med kreditaftaler, der indeholder vilkår, som tillader variationer i debitorrenten, og, hvor det er relevant, de omkostninger, der indgår i de årlige omkostninger i procent, men som ikke kan opgøres på beregningstidspunktet, beregnes de årlige omkostninger i procent ud fra den antagelse, at debitorrenten og andre omkostninger er konstante i forhold til udgangspunktet og finder anvendelse, indtil kreditaftalen udløber.

Stk. 7.

Om nødvendigt kan de supplerende antagelser i lovens bilag 1 anvendes til beregningen af de årlige omkostninger i procent.

Kreditformidlere

§ 17

Det eventuelle gebyr, som forbrugeren skal betale til en kreditformidler for kreditformidlerens ydelse, skal oplyses for forbrugeren og aftales skriftligt mellem forbrugeren og kreditformidleren på papir eller på et andet varigt medium inden indgåelsen af kreditaftalen.

Stk. 2.

Det eventuelle gebyr, som forbrugeren skal betale til kreditformidleren for kreditformidlerens ydelse, skal endvidere af kreditformidleren oplyses til kreditgiveren med henblik på beregning af de årlige omkostninger i procent.

§ 18

(Ophævet)

Kapitel 3

Fortrydelsesret

§ 19

Forbrugeren kan inden for en frist på 14 kalenderdage fortryde en kreditaftale.

Stk. 2.

Den periode, hvori fortrydelsesretten efter stk. 1 kan udøves, løber fra
den dag, hvor kreditaftalen er indgået, eller
den dag, hvor forbrugeren modtager aftalevilkårene og -betingelserne samt oplysningerne i henhold til § 8, hvis dette tidspunkt er senere end tidspunktet efter nr. 1.

Stk. 3.

Vil forbrugeren udøve sin fortrydelsesret, skal forbrugeren meddele kreditgiveren dette inden udløbet af fristen efter stk. 1 efter de anvisninger, som forbrugeren har modtaget fra kreditgiveren i henhold til § 8, stk. 2, nr. 16. Fristen betragtes som overholdt, hvis meddelelsen, såfremt den er udfærdiget på papir eller på et andet varigt medium, som kreditgiveren råder over og har adgang til, er blevet afsendt inden fristens udløb.

Stk. 4.

Hvis forbrugeren udøver sin fortrydelsesret, skal forbrugeren til kreditgiveren betale kapitalen og de renter, der er påløbet fra den dato, hvor kreditmuligheden blev udnyttet, til den dato, hvor kapitalen betales tilbage, uden unødig forsinkelse og senest 30 kalenderdage efter at have sendt kreditgiveren meddelelsen om udøvelsen af fortrydelsesretten. Renterne beregnes på grundlag af den aftalte debitorrente. Kreditgiveren har ikke ret til nogen anden kompensation fra forbrugeren i tilfælde af udøvelse af fortrydelsesretten bortset fra kompensation for eventuelle omkostninger, som kreditgiveren har betalt til offentlige myndigheder, og som ikke kan refunderes.

Stk. 5.

Hvis en accessorisk tjenesteydelse i forbindelse med kreditaftalen ydes af kreditgiveren eller af tredjemand på grundlag af en overenskomst mellem tredjemanden og kreditgiveren, ophører forbrugeren med at være bundet af aftalen om den accessoriske tjenesteydelse, såfremt forbrugeren udøver sin fortrydelsesret med hensyn til kreditaftalen i medfør af denne lov.

Stk. 6.

Hvis forbrugeren har fortrydelsesret i henhold til stk. 1-5, finder kapitel 4 i lov om visse forbrugeraftaler ikke anvendelse.

Stk. 7.

Stk. 1-6 finder ikke anvendelse på lån med pant i fast ejendom, der ydes på baggrund af obligationsudstedelse.

Tilknyttede kreditaftaler

§ 20

Hvis varer eller tjenesteydelser, der er omfattet af en tilknyttet kreditaftale, ikke leveres eller kun leveres delvis eller ikke er i overensstemmelse med aftalen om levering deraf, har forbrugeren ret til at tage retsmidler i anvendelse mod kreditgiveren, såfremt forbrugeren ikke fra leverandøren har opnået den fyldestgørelse, som vedkommende har krav på ifølge lovgivningen eller aftalen om levering af varer eller tjenesteydelser.

Stk. 2.

Forbrugerens mulighed for fyldestgørelse hos kreditgiveren efter stk. 1 er begrænset til størrelsen af kreditten på det tidspunkt, hvor kravet fremsættes.

Kapitel 4

Forbud mod underpant i kreditkøb

§ 21

I kreditkøb kan kreditgiveren ikke i forbindelse med aftalens indgåelse eller leveringen af det solgte få pant i dette til sikkerhed for, at forbrugeren opfylder sine forpligtelser.

Stk. 2.

Bestemmelsen i stk. 1 hindrer ikke, at kreditgiveren efter reglerne om pantsætning af fast ejendom får pant i det solgte, når dette udgør tilbehør til eller bestanddel af en fast ejendom.

Stk. 3.

Stk. 1 finder ikke anvendelse på kreditkøb af aktier, andre former for obligationer end præmieobligationer, sparekassers garantibeviser, beviser for ansvarlig indskudskapital i pengeinstitutter, beviser udstedt af investeringsforeninger under tilsyn og lignende værdipapirer.

Kapitel 5

Generalklausul

§ 22

Er det beløb, som forbrugeren efter aftalen skal betale som vederlag eller omkostninger, urimeligt, skal det nedsættes til, hvad der skønnes rimeligt. Medmindre andet bestemmes af retten, sker afkortningen i det eller de sidste beløb, der skal betales efter aftalen. Er der afkrævet forbrugeren et urimeligt vederlag for at give den pågældende henstand eller andre lempelser i de aftalte vilkår, sker afkortningen på samme måde.

Kapitel 6

Tilsidesættelse af oplysningspligten

§ 23

Er kreditomkostningerne ikke oplyst i overensstemmelse med § 8, stk. 2, nr. 7, eller stk. 5, nr. 6, skal forbrugeren højst betale lånebeløbet og en årlig rente af den til enhver tid værende restgæld, der svarer til den fastsatte referencesats med et tillæg på 5 pct. Som referencesats anses i denne lov den officielle udlånsrente, som Nationalbanken har fastsat henholdsvis pr. 1. januar og 1. juli det pågældende år.

Stk. 2.

Er kreditomkostningerne angivet efter § 8, stk. 2, nr. 7, eller stk. 5, nr. 6, kan kreditgiveren ikke på grundlag af aftalen i øvrigt kræve yderligere kreditomkostninger. Er oplysningen om de årlige omkostninger i procent for lavt angivet, kan kreditgiveren ikke kræve højere kreditomkostninger, end hvad der svarer til den procentsats, der er angivet.

Stk. 3.

Reglerne i stk. 1 og 2 gælder ikke, hvis kreditgiveren kan godtgøre, at forbrugeren på trods af de manglende eller urigtige oplysninger har haft et forsvarligt grundlag for at bedømme kreditomkostningerne.

Stk. 4.

Medfører stk. 1 eller 2 en formindskelse af restgælden, skal forbrugeren betale denne i overensstemmelse med den ordning, der er aftalt med kreditgiver, således at afkortning sker i den eller de sidste ydelser, som skal betales.

§ 24

Har sælgeren i et kreditkøb ikke givet oplysninger som foreskrevet i § 8, kan kreditgiveren i almindelighed ikke kræve godtgørelse for omkostninger, som ellers ville påløbe i anledning af forbrugerens misligholdelse.

Kapitel 7

Forbrugerens betalinger

Indbetaling til pengeinstitutter

§ 25

Indbetaling ifølge en kreditaftale til et pengeinstitut her i riget, bortset fra Grønland, til befordring til betalingsstedet er rettidig, når den sker inden for den betalingsfrist, der gælder efter kreditaftalen.

Førtidig tilbagebetaling

§ 26

Forbrugeren har til enhver tid ret til helt eller delvis at indfri sine forpligtelser i henhold til en kreditaftale. Forbrugeren har herefter ret til en reduktion af de samlede kreditomkostninger, der består af renter og omkostninger i den resterende del af aftalens løbetid.

Stk. 2.

I tilfælde af førtidig tilbagebetaling af en kredit har kreditgiveren ret til kompensation for eventuelle omkostninger, der er direkte forbundet med den førtidige tilbagebetaling af kreditten, hvis den førtidige tilbagebetaling falder i en periode, for hvilken der er aftalt en fast debitorrente. Kompensationen skal være rimelig og fastsættes ud fra objektive kriterier, jf. stk. 3, jf. dog stk. 4-6.

Stk. 3.

Kompensationen efter stk. 2 kan ikke overstige 1 pct. af det kreditbeløb, der tilbagebetales før tiden, hvis der er mere end 1 år mellem den førtidige betaling og kreditaftalens aftalte ophørstidspunkt. Hvis perioden ikke overstiger 1 år, kan kompensationen ikke overstige 0,5 pct. af det kreditbeløb, der tilbagebetales før tiden.

Stk. 4.

Hvis kreditgiveren kan dokumentere, at de tab, som kreditgiveren har lidt som følge af den førtidige tilbagebetaling, overstiger de grænser, der er fastsat i stk. 3, kan kreditgiveren undtagelsesvis kræve en højere kompensation. Hvis den kompensation, som kreditgiveren kræver, overstiger kreditgiverens faktiske tab, kan forbrugeren kræve en tilsvarende nedsættelse.

Stk. 5.

Ingen kompensation for førtidig tilbagebetaling kan overstige det rentebeløb, som forbrugeren skulle have betalt i perioden mellem den førtidige betaling og kreditaftalens aftalte ophørstidspunkt.

Stk. 6.

Kompensation for førtidig tilbagebetaling kan ikke kræves,
hvis tilbagebetalingen har fundet sted i henhold til en forsikringsaftale, der har til formål at garantere tilbagebetalingen af kreditten, eller
i forbindelse med kassekreditter.

Stk. 7.

Stk. 1-6 finder ikke anvendelse på pantebreve i fast ejendom.

Opsigelse af tidsubegrænsede kreditaftaler

§ 27

Forbrugeren kan på standardvilkår og uden omkostninger opsige en tidsubegrænset kreditaftale til enhver tid, medmindre parterne har aftalt en varselsperiode. En sådan periode må ikke overstige 1 måned.

Stk. 2.

Hvis det er fastsat i kreditaftalen, kan kreditgiveren på standardvilkår opsige en tidsubegrænset kreditaftale ved at give forbrugeren mindst 2 måneders varsel. Et sådant varsel skal være udfærdiget på papir eller på et andet varigt medium.

Stk. 3.

Hvis det er fastsat i kreditaftalen, kan kreditgiveren ud fra objektivt begrundede hensyn bringe forbrugerens ret til at udnytte en kreditmulighed i henhold til en tidsubegrænset kreditaftale til ophør. Kreditgiveren skal underrette forbrugeren om et sådant ophør og begrundelsen herfor på papir eller på et andet varigt medium, om muligt før ophøret og ellers senest umiddelbart herefter.

Indfrielse før forfaldstidspunktet

§ 28

Gør kreditgiveren krav på betaling af beløb, som ellers ikke ville være forfaldne, eller på tilbagetagelse af det solgte, skal kreditomkostningerne opgøres efter stk. 2-4.

Stk. 2.

I det omfang kreditomkostningerne beregnes som en procentdel af den til enhver tid værende restgæld eller som et gebyr pr. ydelse, kan kreditgiveren ikke kræve kreditomkostninger for den ubenyttede del af kredittiden.

Stk. 3.

I det omfang kreditomkostningerne beregnes på andet grundlag end nævnt i stk. 2, kan afdrag, for hvilke den betalingstid, der er fastsat i aftalen, endnu ikke er kommet, alene kræves betalt med en så stor del, som lånebeløbet udgør af summen af samtlige afdrag.

Stk. 4.

Hvis omkostningerne ved stiftelsen af kreditten er særskilt opgjort i aftalen og ikke er urimelige, kan kreditgiveren kræve disse omkostninger betalt uden afkortning. Omkostningerne fragår da i de afdrag, der skal afkortes efter stk. 3.

Stk. 5.

Stk. 1-4 finder ikke anvendelse på pantebreve i fast ejendom.

Kapitel 8

Forbrugerens misligholdelse

§ 29

Undlader forbrugeren i et kreditkøb at opfylde sin betalingspligt, har kreditgiveren ikke af den grund ret til at forlange betaling af beløb, som ellers ikke ville være forfaldet, tage det solgte tilbage eller gøre anden aftalt særlig retsvirkning af undladelsen gældende, medmindre forbrugeren er udeblevet med et beløb 30 dage efter dets forfaldstid og betingelserne i stk. 2 er opfyldt.

Stk. 2.

Det forfaldne beløb skal udgøre:
mindst en tiendedel af det samlede beløb, der skal betales, eller
hvis der i det forfaldne beløb indgår flere afdrag, mindst en tyvendedel af det samlede beløb, der skal betales, eller
hele restfordringen.

§ 30

Hvis ikke særlige hensyn til forbrugeren eller kreditgiveren taler imod det, kan fogedretten i kreditkøb henvise en kreditgiver, der ikke har ejendomsforbehold, til så vidt muligt at søge sig fyldestgjort ved tilbagetagelse af det solgte. Tilbagetagelsen sker da under anvendelse af §§ 39-40, §§ 43-44 og § 47. Er det solgtes værdi mindre end kreditgiverens tilgodehavende efter § 38, har kreditgiveren krav på betaling af det overskydende beløb.

Stk. 2.

Hvis et ejendomsforbehold i en aftale om kreditkøb ikke er gyldigt, fordi betingelserne i § 34 ikke er opfyldt, og fogedretten træffer beslutning efter stk. 1, har kreditgiveren kun under de i § 41 fastsatte betingelser krav på betaling af det beløb, hvormed hans tilgodehavende måtte overstige det solgtes værdi ved tilbagetagelsen. Har fogedretten i de nævnte køb undladt at træffe afgørelse efter stk. 1, fordi § 36, stk. 2, hindrer tilbagetagelse af det solgte, kan kreditgiveren kun under tilsvarende betingelser kræve betaling af et beløb, der efter fogedrettens skøn overstiger det solgtes værdi på tidspunktet for fogedforretningen.

Kapitel 9

Kreditorskifte

Brug af negotiable dokumenter

§ 31

Kreditgiveren må i forbindelse med en kreditaftale ikke modtage veksel eller andet særligt skylddokument, der forpligter forbrugeren, og som ved overdragelse kan medføre indskrænkning af forbrugerens ret til at fremsætte indsigelser vedrørende aftalen, jf. dog stk. 2.

Stk. 2.

Bestemmelsen i stk. 1 er ikke til hinder for, at kreditgiver får pant i fast ejendom.

Bevarelse af indsigelser m.v.

§ 32

Det kan ikke aftales, at der ved overdragelse til tredjemand af de rettigheder, der tilkommer kreditgiveren, sælgeren eller leverandøren af en tjenesteydelse, sker indskrænkning af dennes forpligtelser over for forbrugeren.

§ 33

Overdrages kreditgiverens rettigheder i henhold til en kreditaftale til tredjemand, har forbrugeren over for erhververen ret til at gøre enhver indsigelse gældende, som forbrugeren kunne gøre gældende over for den oprindelige kreditgiver.

Stk. 2.

Forbrugeren skal underrettes om overdragelse efter stk. 1. Dette gælder dog ikke, hvis den oprindelige kreditgiver efter aftale med erhververen fortsat står for kreditten i forhold til forbrugeren.

Stk. 3.

I de tilfælde, der er nævnt i § 4, nr. 15, litra b, kan forbrugeren også over for anden kreditor rejse samme pengekrav på grundlag af købet som over for sælgeren. Forbrugeren må dog først sandsynliggøre, at sælgeren ikke opfylder sine forpligtelser, og kravet kan ikke overstige, hvad vedkommende kreditor har modtaget som betaling fra forbrugeren i anledning af købet.

Stk. 4.

Ved kreditaftaler med henblik på opnåelse af en tjenesteydelse finder bestemmelsen i stk. 3 tilsvarende anvendelse, når vederlaget for tjenesteydelsen dækkes helt eller delvis ved lån indrømmet forbrugeren af en tredjemand på grundlag af en aftale herom mellem denne og leverandøren af tjenesteydelsen.

Stk. 5.

Har kreditgiveren fået pant i fast ejendom, jf. § 31, stk. 2, gælder reglerne i stk. 2-4 kun i det omfang, andet ikke følger af reglerne om tinglyste pantebreve i fast ejendom.

Kapitel 10

Køb med ejendomsforbehold

Ejendomsforbeholds gyldighed

§ 34

Ejendomsforbehold er kun gyldigt, såfremt
det er aftalt senest ved overgivelsen af det købte til forbrugeren,
det samlede beløb, der skal betales, jf. § 8, stk. 2, nr. 7, overstiger 2.000 kr.,
kreditkøbet ikke er sket i henhold til en aftale om kredit med variabelt lånebeløb og
sælgeren ved overgivelsen af det købte er fyldestgjort for mindst 20 pct. af kontantprisen.

Stk. 2.

Ved salg af bøger er det uanset bestemmelsen i stk. 1, nr. 4, tilstrækkeligt, at sælgeren, inden nogen del af det købte overgives til forbrugeren, er fyldestgjort for et beløb svarende til det største beløb, der efter aftalen forfalder inden for en måned.

Stk. 3.

Ejendomsforbehold kan ikke aftales til sikkerhed for, at forbrugeren opfylder sine forpligtelser efter et andet køb eller i øvrigt betaler beløb, som kreditor ikke kan godskrive sig efter § 38.

Kreditgiverens adgang til fyldestgørelse

§ 35

Kreditgiveren skal søge sig fyldestgjort for sit tilgodehavende ved tilbagetagelse af det solgte, jf. dog § 36, stk. 2. Kreditgiveren kan kun i de tilfælde, der er nævnt i §§ 41-42, foretage udlæg i forbrugerens øvrige aktiver. Udlæg kan foretages på grundlag af fogedrettens opgørelse af kravet.

Betingelser for tilbagetagelse

§ 36

Kreditgiveren kan umiddelbart på grundlag af købekontrakten søge sig fyldestgjort for sit tilgodehavende hos forbrugeren gennem tilbagetagelse af det solgte ved fogedrettens hjælp, hvis kontrakten
er underskrevet af forbrugeren og overgivet til den pågældende i genpart og
indeholder ejendomsforbehold.

Stk. 2.

Tilbagetagelse af det solgte kan uanset forbrugerens samtykke ikke ske, hvis det efter retsplejelovens § 509, stk. 1, eller § 515, stk. 2, ville være undtaget fra udlæg.

§ 37

Hvis forbrugeren, inden der er sket tilbagetagelse af det solgte, har betalt det beløb, som ikke blev betalt i rette tid, med tillæg af renter og kreditgiverens eventuelle omkostninger, kan kreditgiveren ikke tage det solgte tilbage, forlange betaling af beløb, som ellers ikke ville være forfaldet, eller gøre anden aftalt særlig retsvirkning af undladelsen gældende, medmindre dette på grund af særlige omstændigheder ved misligholdelsen må anses for påkrævet.

Opgørelse af fordringen

§ 38

Vil kreditgiveren i et køb med ejendomsforbehold tage det solgte tilbage, kan denne ved opgørelsen af sit tilgodehavende kun medregne
den ubetalte del af fordringen med fradrag efter § 28, stk. 2 og 3,
rente af forfaldne ydelser og
nødvendige omkostninger ved tilbagetagelsen, herunder inkassoomkostninger, medmindre § 24 er til hinder herfor.

Opgørelse af det solgtes værdi

§ 39

Tages det solgte tilbage, skal dets værdi ved tilbagetagelsen indgå i opgørelsen mellem parterne til fordel for forbrugeren.

Stk. 2.

Ved det solgtes værdi forstås det beløb, som sælgeren kan opnå ved at sælge tingen på hensigtsmæssig måde, eventuelt efter en rimelig istandsættelse.

§ 40

Hvis det solgtes værdi overstiger det beløb, som kreditgiveren kan beregne sig efter § 38, kan kreditgiveren kun tage tingen tilbage, hvis det overskydende beløb samtidig betales til forbrugeren.

§ 41

Er det solgtes værdi mindre end kreditgiverens tilgodehavende efter § 38, har kreditgiveren kun krav på betaling af det overskydende beløb, i det omfang særlige omstændigheder taler derfor, navnlig hvis forbrugeren har udvist forsømmelighed ved brugen eller opbevaringen af det købte eller har lagt hindringer i vejen for tilbagetagelsesforretningen.

§ 42

Hvis § 36, stk. 2, hindrer tilbagetagelse af det solgte, kan kreditgiveren kun, hvis der foreligger særlige omstændigheder som nævnt i § 41, foretage udlæg for et beløb, der overstiger det solgtes værdi på tidspunktet for tilbagetagelsesforretningen.

Stk. 2.

Hvis det solgte ikke findes hos forbrugeren under tilbagetagelsesforretningen, kan kreditgiveren foretage udlæg hos forbrugeren for sit tilgodehavende efter § 38, således som dette opgøres af fogedretten.

Forbrugerens indløsnings- og udtagelsesret

§ 43

Har kreditgiveren fået det solgte tilbage, kan forbrugeren i 14 dage derefter indløse det solgte mod at betale kreditgiverens tilgodehavende beregnet efter § 38. Forbrugeren kan under tilbagetagelsesforretningen give afkald på denne ret.

§ 44

Er flere ting solgt ved samme aftale, og fremsætter kreditgiveren krav om at tage dem tilbage, kan forbrugeren udtage en eller flere af tingene efter eget valg mod at betale det beløb, hvormed kreditgiverens tilgodehavende beregnet efter § 38 overstiger værdien af de øvrige ting. Er kreditgiverens tilgodehavende mindre end denne værdi, har forbrugeren krav på at få betalt det overskydende beløb samtidig med tilbagetagelsen.

Stk. 2.

Hvis kreditgiveren har taget tingene tilbage, kan forbrugeren i 14 dage derefter indløse en eller flere af tingene efter eget valg mod at betale det beløb, hvormed kreditgiverens tilgodehavende beregnet efter § 38 overstiger værdien af de øvrige ting. Forbrugeren kan under tilbagetagelsesforretningen give afkald på denne ret.

Stk. 3.

Forbrugeren kan dog ikke overtage en ting, der hører således sammen med ting, som kreditgiveren tager tilbage, at fraskillelsen ville medføre væsentlig værdiforringelse af det tilbagetagne.

Fremgangsmåden ved tilbagetagelse

§ 45

Anmodning om tilbagetagelse af det solgte skal være skriftlig og være ledsaget af en opgørelse af kreditgiverens tilgodehavende samt købekontrakten i original eller genpart. Hvis købekontrakten ikke indeholder de oplysninger, der er nævnt i § 8, stk. 2, skal det i anmodningen oplyses, om rekvisitus er en forbruger. Det originale dokument skal fremlægges under fogedforretningen. Fogedretten kan om fornødent kræve, at det originale dokument skal foreligge, før fogedforretningen berammes.

Stk. 2.

Anmodningen skal fremsættes over for fogedretten, hvor forbrugeren har hjemting, jf. retsplejelovens §§ 235-236. Har forbrugeren ikke hjemting her i landet, finder retsplejelovens § 487, stk. 1, nr. 4, og stk. 2-4, tilsvarende anvendelse med de undtagelser, som følger af retsplejelovens § 247.

Stk. 3.

Udebliver kreditgiveren fra forretningen, afviser fogedretten denne. Om forbrugerens pligt til efter tilsigelse at møde i fogedretten og give de nødvendige oplysninger gælder retsplejelovens § 494, stk. 1-3, jf. stk. 4, og § 497. Om fogedrettens vejledningspligt og adgang til beskikkelse af advokat for en part gælder retsplejelovens § 500.

§ 46

Er der anmodet om tilbagetagelse af det solgte på grund af forsinkelse med betalingen, kan fogedretten udsætte forretningen i indtil 4 måneder fra anmodningens modtagelse, hvis det må antages, at forbrugeren er kommet i forbigående økonomiske vanskeligheder. Udsættelse bør ikke ske, hvis kreditgiverens sikkerhed bringes i fare. Fogedretten kan fastsætte vilkår for udsættelsen. Hvis forbrugerens forhold giver anledning til det, kan fogedretten til enhver tid bestemme, at forretningen skal fremmes.

§ 47

Det solgtes værdi ansættes af fogedretten, eventuelt efter tilkaldelse af sagkyndig bistand.

Stk. 2.

Enhver af parterne kan forlange, at fogedretten på grundlag af en vurdering, som foretages af en eller flere sagkyndige personer efter rettens nærmere bestemmelse, foretager en fornyet prøvelse af værdiansættelsen.

Stk. 3.

Anmodning om fornyet prøvelse af værdiansættelsen skal fremsættes inden afslutningen af det retsmøde, hvor værdiansættelsen finder sted. Den, der fremsætter anmodningen, skal stille sikkerhed for omkostningerne ved tilvejebringelse af grundlaget for den fornyede prøvelse, medmindre fogedretten på grund af særlige omstændigheder fritager den pågældende derfor. Ved opgørelsen af parternes mellemværende afgør fogedretten, hvem af dem der skal bære omkostningerne. Såfremt hensynet til en part i særlig grad taler derfor på grund af den pågældendes økonomiske forhold, kan fogedretten bestemme, at omkostningerne helt eller delvis skal betales af staten.

Tilbagetagelse uden fogedrettens medvirken

§ 48

Har kreditgiveren uden fogedrettens medvirken taget det solgte tilbage fra forbrugeren uden dennes samtykke, skal fogedretten afvise en fogedforretning i anledning af købet eller tilbagetagelsen, medmindre der foreligger særlige omstændigheder eller kreditgiver efter tilbagetagelsen har erhvervet et særligt retsgrundlag.

Stk. 2.

Har kreditgiveren og forbrugeren udenretligt aftalt, at kreditgiveren i anledning af forbrugerens misligholdelse får det solgte tilbageleveret uden fogedrettens medvirken, kan kreditgiveren ikke påberåbe sig nogen aftale med forbrugeren, hvorefter der påhviler denne yderligere forpligtelser over for kreditgiveren i anledning af købet. Har kreditgiveren taget det solgte tilbage som nævnt i stk. 1, kan kreditgiveren heller ikke på andet grundlag gøre yderligere krav gældende mod forbrugeren i anledning af købet, medmindre der foreligger særlige omstændigheder.

Kapitel 11

Ikke-forbrugerkøb

§ 49

§ 22 og §§ 25-29 finder tilsvarende anvendelse på kreditkøb, der ikke er forbrugerkøb.

§ 50

Kapitel 10 finder tilsvarende anvendelse på kreditkøb, der ikke er forbrugerkøb, og hvor der er aftalt ejendomsforbehold med hensyn til det solgte, jf. dog stk. 2.

Stk. 2.

§ 34, stk. 1, nr. 4, § 35, §§ 41-42, § 45, stk. 2, og § 48, stk. 2, finder ikke anvendelse på de i stk. 1 nævnte køb.

§ 51

I køb med ejendomsforbehold som nævnt i § 50 kan kreditgiveren ikke gøre udlæg i det solgte, men kan søge sig fyldestgjort enten ved tilbagetagelse af det solgte, jf. dog § 36, stk. 2, eller ved foretagelse af udlæg i køberens øvrige aktiver.

Stk. 2.

Hvis foretagelse af udlæg skønnes at ville medføre urimeligt tab eller væsentlige ulemper for køberen, kan fogedretten henvise kreditgiveren til så vidt muligt at søge sig fyldestgjort ved tilbagetagelse af det solgte.

Stk. 3.

Er det solgtes værdi mindre end kreditgiverens tilgodehavende efter § 38, har kreditgiveren krav på betaling af det overskydende beløb. For sit krav kan kreditgiveren foretage udlæg hos køberen på grundlag af fogedrettens opgørelse af kravet. Det samme gælder, hvis § 36, stk. 2, hindrer tilbagetagelse, eller hvis det solgte ikke findes hos køberen under tilbagetagelsesforretningen.

§ 52

Anmodning om tilbagetagelse af det solgte skal fremsættes over for fogedretten, enten hvor køberen har hjemting, jf. retsplejelovens §§ 235-236 og §§ 238-240, eller hvor køberen driver erhvervsmæssig virksomhed, jf. retsplejelovens § 237. Er der ikke værneting her i landet efter 1. pkt., finder retsplejelovens § 487, stk. 1, nr. 4, og stk. 2-4, tilsvarende anvendelse med de undtagelser, som følger af retsplejelovens § 247.

Kapitel 12

Forskellige bestemmelser

§ 53

(Ophævet)

§ 54

(Ophævet)

§ 55

Justitsministeren kan, i det omfang det betinges af prisudviklingen, ændre beløbsangivelsen i § 34, stk. 1, nr. 2.

Stk. 2.

Justitsministeren kan hvert andet år efter forhandling med Danmarks Nationalbank og Økonomiministeriet ændre den rente, der er fastsat i § 23, stk. 1.

Kapitel 13

Straffebestemmelser

§ 56

Den, der overtræder § 31, straffes med bøde.

Stk. 2.

Med bøde straffes endvidere den, der gør sig skyldig i grov eller oftere gentagen overtrædelse af §§ 7 a, 7 b, 8, 8 a, 8 b, 9, 10 eller 17.

Stk. 3.

Der kan pålægges selskaber m.v. (juridiske personer) strafansvar efter reglerne i straffelovens 5. kapitel.

§ 57

Den, der driver virksomhed med kreditgivning, der er omfattet af loven, eller medvirker hertil, kan ved dom for strafbart forhold frakendes retten til fortsat at drive den pågældende virksomhed eller til at drive den under visse former eller til at medvirke hertil. Straffelovens § 79 finder tilsvarende anvendelse.

Stk. 2.

Påstand om frakendelse efter stk. 1 nedlægges af anklagemyndigheden efter anmodning fra forbrugerombudsmanden.

Stk. 3.

Den, som driver virksomhed, hvortil retten er frakendt ham i medfør af stk. 1, eller som i sin virksomhed lader nogen, som er frakendt retten hertil, medvirke ved salg på kredit, straffes med bøde, medmindre højere straf er forskyldt efter straffelovens § 131. Der kan pålægges selskaber m.v. (juridiske personer) strafansvar efter reglerne i straffelovens 5. kapitel.

Kapitel 14

Ikrafttrædelses- og overgangsbestemmelser

§ 58

Loven træder i kraft den 1. januar 1991, (udelades)

Stk. 2.

(Udelades)

Stk. 3.

Lovens bestemmelser finder anvendelse på kreditaftaler, der indgås efter ikrafttrædelsen.

Stk. 4.

Lov nr. 275 af 9. juni 1982 om køb på kredit ophæves. Loven gælder dog fortsat for kreditkøb, der er indgået inden denne lovs ikrafttræden.

§ 59

(Udelades)

§ 60

Loven gælder ikke for Færøerne og Grønland, men §§ 1-58 kan ved kongelig anordning sættes i kraft for disse landsdele med de afvigelser, som de særlige færøske og grønlandske forhold tilsiger.

Bilag 1

Grundligning, der angiver ækvivalensen mellem udnyttede kreditmuligheder på den ene side og tilbagebetalinger og omkostninger på den anden side
1. Grundligningen
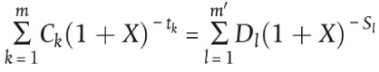
Grundligningen, som bestemmer de årlige omkostninger i procent (ÅOP), sætter på årsbasis lighedstegn mellem den samlede nutidsværdi af udnyttede kreditmuligheder og den samlede nutidsværdi af tilbagebetalinger og betalinger af omkostninger:
AA5976_5_1.jpg Size: (200 X 38)
2. Betydning af bogstaver og symboler
X er ÅOP.
m er nummeret på sidste udnyttelse af kreditmuligheden.
k er nummeret på en udnyttelse af kreditmuligheden, hvor 1 ≤ k ≤ m.
C k er størrelsen af udnyttet kreditmulighed k.
t k er tidsintervallet, udtrykt i år eller brøkdele af et år, mellem tidspunktet for første udnyttelse af kreditmuligheden og tidspunkterne for hver efterfølgende udnyttelse af kreditmuligheden, hvor t1 = 0.
m' er nummeret på sidste tilbagebetaling eller betaling af omkostninger.
l er nummeret på en tilbagebetaling eller betaling af omkostninger.
D l er størrelsen af en tilbagebetaling eller betaling af omkostninger.
s l er tidsintervallet, udtrykt i år eller brøkdele af et år, mellem tidspunktet for første udnyttelse af kreditmuligheden og tidspunkterne for hver tilbagebetaling eller betaling af omkostninger.
3. Bemærkninger
De beløb, der betales af parterne på forskellige tidspunkter, er ikke nødvendigvis lige store og betales ikke nødvendigvis med lige store tidsintervaller.
Begyndelsestidspunktet er tidspunktet for første udnyttelse af kreditmuligheden.
Tidsintervallet mellem de tidspunkter, der anvendes ved beregningen, udtrykkes i år eller brøkdele af et år. Et år antages at have 365 dage (skudår 366 dage), 52 uger eller 12 lige lange måneder. Hver måned antages at have 30,41666 dage (= 365/12), uanset om der er tale om et skudår.
Beregningernes resultat angives med mindst én decimals nøjagtighed. Hvis næste decimal er 5 eller derover, forhøjes den bestemmende decimal med 1.
Ligningen kan skrives om, så der blot bruges en enkelt sum og begrebet bevægelser (Ak), som vil være positive eller negative, dvs. henholdsvis betalt eller modtaget i perioder 1 til k, udtrykt i år. Det vil sige:
hvor S er den aktuelle bevægelsessaldo. Hvis målet er at bibeholde ækvivalensen mellem bevægelserne, vil værdien være nul.
4. Supplerende antagelser til brug ved beregningen af de årlige omkostninger i procent
Hvis en kreditaftale stiller forbrugeren frit med hensyn til at udnytte kreditmuligheden, anses det samlede kreditbeløb for udnyttet i sin helhed med det samme.
Hvis en kreditaftale giver forskellige muligheder for at udnytte kreditmuligheden med forskellige omkostninger eller debitorrenter, anses det samlede kreditbeløb for udnyttet ved den højeste omkostning og debitorrente anvendt på den mulighed for at udnytte kreditmuligheden, der oftest benyttes under den pågældende type kreditaftale.
Hvis en kreditaftale generelt stiller forbrugeren frit med hensyn til at udnytte kreditmuligheden, men også blandt de forskellige muligheder for udnyttelse af kreditmuligheden fastsætter en begrænsning med hensyn til beløb og tidsrum, anses kreditbeløbet for at være udnyttet på den tidligste af de datoer, der er fastsat i aftalen, og i overensstemmelse med disse begrænsninger for udnyttelse af kreditmuligheden.
Hvis der ikke er en fast tidsplan for tilbagebetalingen, antages det,
at kreditten er stillet til rådighed for en periode på 1 år og
at kreditten tilbagebetales i 12 lige store månedlige rater.
Hvis der er en fast tidsplan for tilbagebetaling, men størrelsen af tilbagebetalingen er fleksibel, skal størrelsen af hver tilbagebetaling anses for at være den laveste, som er fastsat i aftalen.
Når kreditaftalen indeholder mere end én tilbagebetalingsdato, anses kreditten for stillet til rådighed og tilbagebetalingerne for foretaget på den tidligste af de datoer, der er fastsat i aftalen, medmindre andet er angivet.
Er der endnu ikke aftalt et loft for kreditten, anses loftet for at være på 11.200 kr.
Hvis der er tale om en kassekredit, anses det samlede kreditbeløb for udnyttet i sin helhed og for kreditaftalens fulde løbetid. Hvis kreditaftalens løbetid ikke kendes, beregnes de årlige omkostninger i procent ud fra den antagelse, at kredittens løbetid er 3 måneder.
Hvis der i en begrænset periode eller for et begrænset beløb tilbydes forskellige rentesatser og omkostninger, anses rentesatsen og omkostningerne for at være den højeste sats i hele kreditaftalens løbetid.
I forbindelse med kreditaftaler, for hvilke der er aftalt en fast debitorrente i den første periode, ved hvis udløb der fastsættes en ny debitorrente, som derefter med jævne mellemrum tilpasses i forhold til en aftalt indikator, beregnes de årlige omkostninger i procent ud fra den antagelse, at fra og med udløbet af perioden med den faste debitorrente er debitorrenten den samme som debitorrenten på tidspunktet for beregningen af de årlige omkostninger i procent baseret på værdien af den aftalte indikator på det pågældende tidspunkt.

Bilag 2

Standardiserede europæiske forbrugerkreditoplysninger
1. Navn og kontaktoplysninger for kreditgiver/kreditformidler
Kreditgiver
Adresse
Tlf.nr. (*)
E-mail (*)
Fax-nr. (*)
Websted (*)
[Navn]
[Fysisk adresse, der skal anvendes af forbrugeren]
Hvis relevant
Kreditformidler
Adresse
Tlf.nr. (*)
E-mail (*)
Fax-nr. (*)
Websted (*)
[Navn]
[Fysisk adresse, der skal anvendes af forbrugeren]
(*) Disse oplysninger er valgfri for kreditgiver.
Når »hvis relevant« er angivet, skal kreditgiver udfylde rubrikken, hvis oplysningerne er relevante for kreditproduktet, eller slette de pågældende oplysninger eller hele rækken, hvis oplysningerne ikke er relevante for den kredittype, der overvejes.
Teksten i skarp parentes er en forklaring til kreditgiver og skal erstattes af de pågældende oplysninger.
2. Beskrivelse af de vigtigste karakteristika ved kreditproduktet
Kredittype
Det samlede kreditbeløb
Der menes loftet for eller summen af alle beløb, der stilles til disposition i henhold til en kreditaftale.
Betingelserne for at udnytte kreditmuligheden
Der menes, hvordan og hvornår De vil få pengene.
Kreditaftalens løbetid
Afdrag og, hvis det er relevant, i hvilken rækkefølge afdragene vil blive fordelt
De skal betale følgende:
[Størrelse, antal og hyppighed af de betalinger, der skal foretages af forbrugeren]
Renter og/eller omkostninger betales på følgende måde:
Det samlede beløb, De skal betale
Der menes den lånte kapital plus renter og eventuelle omkostninger i forbindelse med Deres kredit.
[Sum af det samlede kreditbeløb og de samlede omkostninger i forbindelse med kreditten]
Hvis relevant
Kreditten ydes i form af henstand med betalingen for varer eller tjenesteydelser eller er knyttet til levering af specifikke varer eller tjenesteydelser
Navn på vare/tjenesteydelse
Kontantpris
Hvis relevant
Den sikkerhedsstillelse, som kræves
Dette er en beskrivelse af den sikkerhed, De skal stille i forbindelse med kreditaftalen.
[Type sikkerhedsstillelse]
Hvis relevant
Tilbagebetaling fører ikke til en omgående amortisation af kapitalen.
3. Kreditomkostninger
Debitorrenten eller, hvis det er relevant, de forskellige debitorrenter, der gælder for kreditaftalen
[%
– fast eller
– variabel (med det indeks eller den referencesats, der skal anvendes på den oprindelige debitorrente)
– perioder]
De årlige omkostninger i procent (ÅOP)
Dette er de samlede omkostninger udtrykt i procent pr. år af det samlede kreditbeløb.
ÅOP anføres for at hjælpe Dem med at sammenligne forskellige tilbud.
[% Her anføres et repræsentativt eksempel, som angiver alle de antagelser, der er lagt til grund ved beregningen af satsen]
Er man for at opnå kreditten eller for at opnå kreditten på de annoncerede vilkår og betingelser forpligtet til at
– tegne en forsikring vedrørende kreditten, eller
– indgå aftale om en anden accessorisk tjenesteydelse.
Hvis kreditgiver ikke kender omkostningerne i forbindelse med disse tjenesteydelser, indgår de ikke i ÅOP.
Ja/nej [hvis ja, angiv hvilken forsikring]
Ja/nej [hvis ja, angiv hvilken accessorisk tjenesteydelse]
Tilknyttede omkostninger
Hvis relevant
Forvaltning af en eller flere konti til registrering af både betalingstransaktioner og udnyttelser af kreditmuligheden er påkrævet
Hvis relevant
Omkostninger ved anvendelse af et specifikt betalingsmiddel (f.eks. et kreditkort)
Hvis relevant
Eventuelle andre omkostninger i forbindelse med kreditaftalen
Hvis relevant
Betingelserne for ændring af ovennævnte omkostninger i forbindelse med kreditaftalen
Hvis relevant
Betingelse om betaling af notarialgebyr
Morarenter
Manglende betalinger kan have alvorlige følger for Dem (f.eks. tvangsauktion) og gøre det vanskeligere at opnå kredit.
De vil blive pålagt [… (gældende rentesats og måden, denne sats tilpasses på, og, hvis relevant, misligholdelsesomkostninger)] for forsinkede betalinger
4. Andre vigtige retlige aspekter
Fortrydelsesret
De har ret til at fortryde kreditaftalen inden for en periode på 14 kalenderdage.
Ja/nej
Førtidig tilbagebetaling
De har ret til helt eller delvis at tilbagebetale kreditbeløbet før tiden.
Hvis relevant
Kreditgiver har ret til kompensation i tilfælde af førtidig tilbagebetaling
[Fastsættelse af kompensation (beregningsmetode) i overensstemmelse med gennemførelsesbestemmelserne for artikel 16 i direktiv 2008/48/EF]
Søgning i en database
Kreditgiver skal straks og gratis underrette Dem om resultatet af en søgning i en database, hvis en anmodning om kredit afslås på grundlag af en sådan søgning. Dette gælder ikke, hvis en sådan underretning er forbudt i henhold til fællesskabsretten eller strider mod den offentlige orden eller den offentlige sikkerhed.
Ret til et udkast til kreditaftale
De har ret til efter anmodning gratis at modtage en kopi af udkastet til kreditaftale. Denne bestemmelse finder ikke anvendelse, hvis kreditgiveren på tidspunktet for anmodningen ikke er villig til at indgå kreditaftalen med Dem.
Hvis relevant
Hvor længe oplysningerne forud for aftaleindgåelsen er bindende for kreditgiveren
Disse oplysninger er gyldige fra ... til ...
Hvis relevant
5. Supplerende oplysninger i tilfælde af fjernsalg af finansielle tjenesteydelser
a) om kreditgiver
Hvis relevant
Kreditgivers repræsentant i den medlemsstat, hvor De bor
Adresse
[Navn]
[Fysisk adresse, der skal anvendes af forbrugeren]
Tlf.nr. (*)
E-mail (*)
Fax-nr. (*)
Websted (*)
Hvis relevant
Registrering
[Det handelsregister, hvori kreditgiver er opført, og vedkommendes registreringsnummer eller tilsvarende identifikationssymbol i dette register]
Hvis relevant
Tilsynsmyndigheden
b) om kreditaftalen
Hvis relevant
Udøvelse af fortrydelsesretten
[Praktiske anvisninger om udøvelse af fortrydelsesretten, bl.a. den periode, hvor denne ret kan udøves, til hvilken adresse en meddelelse vedrørende udøvelse af fortrydelsesretten skal sendes, og konsekvenserne af ikke at udøve denne ret]
Hvis relevant
De retsregler, kreditgiver har valgt at lægge til grund for etableringen af forbindelserne med Dem forud for kreditaftalens indgåelse
Hvis relevant
Vilkår i aftalen om, hvilken lovgivning der skal anvendes på kreditaftalen, og/eller om, hvilken domstol der er kompetent
[De relevante vilkår gengives her]
Hvis relevant
Sprogordning
Oplysninger og aftalevilkår gives på [det specifikke sprog]. Hvis De er indforstået hermed, vil vi kommunikere på [det/de specifikke sprog] i kreditaftalens løbetid
c) om klageadgang
Hvorvidt der findes, og hvordan man får klageadgang og adgang til udenretslig bilæggelse af tvister
[En eventuel klageadgang og adgang til udenretslig bilæggelse af tvister for den forbruger, der er part i fjernsalgskontrakten, og, hvis dette er tilfældet, hvorledes forbrugeren kan gøre brug heraf]
(*) Disse oplysninger er valgfri for kreditgiver.

Bilag 3

Europæiske forbrugerkreditoplysninger med henblik på kassekredit og gældsomlægning
1. Kreditgivers/kreditformidlers navn og kontaktoplysninger
Kreditgiver
Adresse
Tlf.nr. (*)
E-mail (*)
Fax-nr. (*)
Websted (*)
[Navn]
[Fysisk adresse, der skal anvendes af forbrugeren]
Hvis relevant
Kreditformidler
Adresse
Tlf.nr. (*)
E-mail (*)
Fax-nr. (*)
Websted (*)
[Navn]
[Fysisk adresse, der skal anvendes af forbrugeren]
(*) Disse oplysninger er valgfri for kreditgiver.
Når »hvis relevant« er angivet, skal kreditgiver udfylde rubrikken, hvis oplysningerne er relevante for kreditproduktet, eller slette de pågældende oplysninger eller hele rækken, hvis oplysningerne ikke er relevante for den kredittype, der overvejes.
Teksten i skarp parentes er en forklaring til kreditgiver og skal erstattes af de pågældende oplysninger.
2. Beskrivelse af de vigtigste karakteristika ved kreditproduktet
Kredittypen
Det samlede kreditbeløb
Der menes loftet for eller summen af alle beløb, der stilles til disposition i henhold til en kreditaftale.
Kreditaftalens løbetid
Hvis relevant
De kan til enhver tid blive anmodet om at betale hele kreditbeløbet tilbage på anfordring
3. Kreditomkostninger
Debitorrenten eller, hvis det er relevant, de forskellige debitorrenter, der gælder for kreditaftalen
[%
– fast eller
– variabel (med det indeks eller den referencesats, der skal anvendes på den oprindelige debitorrente)]
Hvis relevant
De årlige omkostninger i procent (ÅOP) (*)
Dette er de samlede omkostninger i forbindelse med kreditten udtrykt i procent pr. år af det samlede kreditbeløb. ÅOP anføres for at hjælpe Dem med at sammenligne forskellige tilbud.
[% Her anføres et repræsentativt eksempel, som angiver alle de antagelser, der er lagt til grund ved beregningen af satsen]
Hvis relevant
Omkostninger
Hvis relevant
Betingelserne for ændring af disse omkostninger
[Omkostninger, der påløber fra kreditaftalens indgåelse]
Morarenter
De vil blive pålagt [..... (gældende rentesats og måden, denne sats tilpasses på, og, hvis det er relevant, misligholdelsesomkostninger)] for mang­lende betalinger
(*) Finder ikke anvendelse for Europæiske forbrugerkreditoplysninger med henblik på kassekredit i de medlemsstater, der i henhold til artikel 6, stk. 2, i direktiv 2008/48/EF beslutter, at ÅOP ikke skal oplyses for kassekredit.
4. Andre vigtige retlige aspekter
Opsigelse af kreditaftalen
[Betingelserne og proceduren for opsigelse af kreditaftalen]
Søgning i en database
Kreditgiveren skal straks og gratis underrette Dem om resultatet af en søgning i en database, hvis en anmodning om kredit afslås på grundlag af en sådan søgning. Dette gælder ikke, hvis en sådan underretning er forbudt i henhold til fællesskabsretten eller strider mod den offentlige orden eller den offentlige sikkerhed.
Hvis relevant
Hvor længe oplysningerne forud for aftaleindgåelsen er bindende for kreditgiveren
Disse oplysninger er gyldige fra ... til ...
Hvis relevant
5. Supplerende oplysninger, som skal gives, hvis oplysningerne forud for aftaleindgåelse tilbydes i forbindelse med en forbrugerkredit med henblik på gældsomlægning
Afdrag og, hvis det er relevant, i hvilken rækkefølge afdragene vil blive fordelt
De skal betale følgende:
[Et repræsentativt eksempel på en afdragsoversigt med angivelse af beløb, antal og hyppighed af de betalinger, forbrugeren skal foretage]
Det samlede beløb, De skal betale
Førtidig tilbagebetaling
De har ret til helt eller delvis at tilbagebetale kreditbeløbet før tiden.
Hvis relevant
Kreditgiver har ret til kompensation i tilfælde af førtidig tilbagebetaling
[Fastsættelse af kompensation (beregningsmetode) i overensstemmelse med gennemførelsesbestemmelserne for artikel 16 i direktiv 2008/48/EF]
Hvis relevant
6. Supplerende oplysninger, som skal gives i tilfælde af fjernsalg af finansielle tjenesteydelser
a) om kreditgiver
Hvis relevant
Kreditgivers repræsentant i den medlemsstat, hvor De bor
Adresse
Tlf.nr. (*)
E-mail (*)
Fax-nr. (*)
Websted (*)
[Navn]
[Fysisk adresse, der skal anvendes af forbrugeren]
Hvis relevant
Registrering
[Det handelsregister, hvori kreditgiver er opført, og vedkommendes registreringsnummer eller tilsvarende identifikationssymbol i dette register]
Hvis relevant
Tilsynsmyndighed
b) om kreditaftalen
Fortrydelsesret
De har ret til at fortryde kreditaftalen inden for en periode på 14 kalenderdage.
Hvis relevant
Udøvelse af fortrydelsesretten
Ja/nej
[Praktiske anvisninger om udøvelse af fortrydelsesretten, bl.a. til hvilken adresse en meddelelse vedrørende udøvelse af fortrydelsesretten skal sendes, og konsekvenserne af ikke at udøve denne ret]
Hvis relevant
De retsregler, kreditgiver har valgt at lægge til grund for etableringen af forbindelserne med Dem forud for kreditaftalens indgåelse
Hvis relevant
Vilkår om, hvilken lovgivning der skal anvendes på aftalen, og/eller om, hvilken domstol der er kompetent
[De relevante vilkår gengives her]
Hvis relevant
Sprogordning
Oplysninger og aftalevilkår gives på [det specifikke sprog]. Hvis De er indforstået hermed, vil vi kommunikere på [det/de specifikke sprog] i kreditaftalens løbetid
c) om klageadgang
Hvorvidt der findes, og hvordan man får klageadgang og adgang til udenretslig bilæggelse af tvister
[En eventuel klageadgang og adgang til udenretslig bilæggelse af tvister for den forbruger, der er part i fjernsalgskontrakten, og, hvis dette er tilfældet, hvorledes forbrugeren kan gøre brug her­af]
(*) Disse oplysninger er valgfri for kreditgiver.